0  287163  287171  287177  287181  287187  287189  287193  287199  287201  287207  287213  287217  287219  287223  287229  287231  287237  287241  287243  287247  287249  287253  287255  287257  287258  287259  287261  287262  287263  287265  287267  287271  287273  287277  287279  287283  287289  287291  287297  287301  287303  287307  287313  287319  287321  287327  287331  287333  287339  287343  287349  287357  447090 

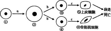
2.下图为人体细胞的分裂、分化、衰老和死亡过程的示意图,图中①-⑥为各个时期的细胞,a-c表示细胞所进行的生理过程。据图分析,下列叙述正确的是   (   )

A.与①相比,②的表面积与体积的比值增大,与外界环境进行物质交换的能力增强

B.⑤与⑥的基因型相同,蛋白质的种类也相同

C.若⑤⑥已失去分裂能力,则其细胞内遗传信息的流动方向为DNA→RNA→蛋白质

D.细胞的衰老与死亡就会引起人体的衰老与死亡

试题详情

1.下列四项加水的处理所应用的主要原理与其他项不同的是(   )

A.红细胞培养液加入水制备细胞膜       B.蔬菜用水浸泡保持硬度

C.低活性干酵母粉加水制备高活性酵母菌液   D.配置动物培养液时控制溶液浓度

试题详情

16.翼型降落伞有很好的飞行性能。它被看作飞机的机翼,跳伞运动员可方便地控制转弯等动作。其原理是通过对降落伞的调节,使空气升力和空气摩擦力都受到影响。已知:空气升力F1与飞行方向垂直,大小与速度的平方成正比,F1=C1v2;空气摩擦力F2与飞行方向相反,大小与速度的平方成正比,F2=C2v2。其中C1、C2相互影响,可由运动员调节,满足如图b所示的关系。试求:

(1)图a中画出了运动员携带翼型伞跳伞后的两条大致运动轨迹。试对两位置的运动员画出受力示意图并判断,①、②两轨迹中哪条是不可能的,并简要说明理由;

(2)若降落伞最终匀速飞行的速度v与地平线的夹角为a,试从力平衡的角度证明:tana=C2/C1

(3)某运动员和装备的总质量为70kg,匀速飞行的速度v与地平线的夹角a约20°(取tan200=4/11),匀速飞行的速度v多大?(g取10m/s2,结果保留3位有效数字)

 

试题详情

15、如图所示,竖直平行直线为匀强电场的电场线,电场方向未知,A,B是电场中的两点,AB两点的连线长为l且与电场线所夹的锐角为θ.一个质量为m,电荷量为-q的带电粒子以初速度v0。从A点垂直进入电场,该带电粒子恰好能经过B点.不考虑带电粒子的重力大小.

(1)根据你学过的物理学规律和题中所给的信息,对反映电场本身性质的物理量(例如电场方向),你能作出哪些定性判断或求得哪些定量结果?

(2)若仅知道带电小球的电荷量-q、初动能Ek0以及AB两点的连线与电场线所夹的锐角θ三个量,对反映电场本身性质的物理量,你能求得哪些定量结果?

试题详情

14、总质量为80kg的跳伞运动员从离地500m的直升机上跳下,经过2s拉开绳索开启降落伞,如图所示是跳伞过程中的v-t图,试根据图像求:(g取10m/s2)

(1)t=1s时运动员的加速度和所受阻力的大小。

(2)估算14s内运动员下落的高度及克服阻力做的功。

(3)估算运动员从飞机上跳下到着地的总时间。

试题详情

13、(12分)如图所示,斜面和水平面由一小段光滑圆弧连接,斜面的倾角为37°,一质量为0.5kg的物块从距斜面底端B点5m处的A点由静止释放.已知物块与水平面和斜面的动摩擦因数均为0.3。 (sin37°=0.6,cos37°=0.8,g=10m/s2)

(1)物块在水平面上滑行的时间为多少?

(2)若物块开始静止在水平面上距B点10m 的C点处,用大小为4.5N的平恒力向右拉该物块,到B点撤去此力,物块第一次到A点时的速度为多大?

(3)若物块开始静止在水平面上距B点10m 的C点处,用大小为4.5N的水平恒力向右拉该物块,欲使物块能到达A点,水平恒力作用的最短距离为多大?

试题详情

12、某研究性学习小组设计了一个方法来测量物体的带电量,如图所示,小球是一个外表面镀有金属膜的空心塑料球,用绝缘丝线悬挂于O点,O点固定一个可测量丝线偏离竖直方向角度θ的量角器,M、N是两块相同的、正对着平行放置的金属板(加上电压后其内部电场可看作匀强电场),另外还要用到的器材有天平、刻度尺、电压表、直流电流表、开关、滑动变阻器及导线若干,该小组的实验步骤如下,请你帮助该小组完成:

(1)用天平测出小球的质量m,按图中所示进行器材的安装,并用刻度尺测出M、N两板之间的距离d.使小球带上一定的电荷量。

(2)连接电路(请在图中的虚线框中画出实验所用的电路图,电源、开关已经画出)

(3)闭合开关,调节滑动变阻器滑片的位置,读出多组相应的电压表的

数和丝线的偏转角θ

(4)以电压U为纵坐标,以______为横坐标作出过原点的直

线,求出直线的斜率K。

(5)小球的带电量q=__ ___.(用m.d.k等物理量表示)

试题详情

11、为了测定滑块与桌面之间的动摩擦因数,某同学设计了如图所示的实验装置。其中,a是质量为m的滑块(可

视为质点),b是可以固定于桌面

的滑槽(滑槽末端与桌面相切)。

第一次实验时,将滑槽固定于水

平桌面的右端,滑槽的末端与桌面的右端M对齐,让滑块a从滑槽上最高点由静止释放滑下,落在水平地面上的P点;第二次实验时,将滑槽固定于水平桌面的左端,测出滑槽的末端N与桌面的右端M的距离为L,让滑块再次从滑槽上最高点由静止释放滑下,落在水平地面上的P'点。已知当地重力加速度为g,不计空气阻力。

①实验还需要测量的物理量(用文字和字母表示):    _▲__   

②写出滑块与桌面间的动摩擦因数的表达式是(用测得的物理量的字母表示):

=    ___   

试题详情

10、(1)物理实验中,误差分为系统误差和偶然误差,通常用______方法来减小偶然误差

(2)某游标卡尺的主尺的最小分度为1mm,游标卡尺上有10个等分刻度,总长为9mm,游标卡尺上每一个等分刻度的长度是  ▲  mm,用这种游标卡尺测量时,可以精确到____mm.若其最末一个刻度与主尺的44mm刻度对齐,则所测长度是____mm。游标卡尺的第五条刻度线所对应的主尺刻度为____mm.

试题详情

9、半径为R的圆桶固定在小车上,有一光滑小球静止在圆桶的最低点,如图所示,小车以速度v向右匀速运动,当小车遇到障碍物突然停止时,小球在圆桶中上升的高度可能为   (    )

A.等于v2/2g        B.大于v2/2g

C.小于v2/2g        D.等于2R

试题详情


同步练习册答案