0  289315  289323  289329  289333  289339  289341  289345  289351  289353  289359  289365  289369  289371  289375  289381  289383  289389  289393  289395  289399  289401  289405  289407  289409  289410  289411  289413  289414  289415  289417  289419  289423  289425  289429  289431  289435  289441  289443  289449  289453  289455  289459  289465  289471  289473  289479  289483  289485  289491  289495  289501  289509  447090 

人类活动会导致某些自然要素的变化,进而带动其它要素的变化,其中水是比较容易受人类干扰的自然要素。据图,完成33--34题。

33.图中I、Ⅱ、Ⅲ相应内容的排序,正确的是(   )             

①土壤水增多  ②库区蒸发量增大  ③植被覆盖率增大

A.①②③      B.③②①     C.②③①    D.①③② 

34.图中各地理要素之间的关系体现了地理环境的(   )              

A.整体性特征    B.区域性特征   C.差异性特征  D.不稳定性特征

试题详情

读下面某沿海地区一山地垂直自然带分布图,回答30--32题。

30.该山地可能位于(   )

A.北半球温带地区

B.北半球亚热带地区

C.南半球温带地区

D.南半球亚热带地区

31.若该山地山麓的年平均气温为12℃,则该山地的海拔不超过(   )

A.1000米     B.2000米

C.3000米     D.4000米

32.该山地所在地区的气候主要受(   )

A.信风的影响  B.季风影响    C.西风影响    D.西风和副高交替影响

试题详情

温室效应引起全球变暖已成事实。最近,澳大利亚科学家又提出,与这一效应相伴随的还有“地球变暗”效应。请回答27--29题

27.图甲为模拟温室效应的小实验,两支同样的温度计静置在阳光下,十分钟后,透明玻璃瓶内温度计的读数可能是(   )

A.25℃    B.12℃  C.10℃ D.8℃

28.图乙中与全球变暖相对应的大气热力作用是(   )

A.①   B.②   C.③   D.④

29.图乙中与“地球变暗”相对应的大气热力作用是(   )

A.①   B.②   C.③   D.④

试题详情

读山谷风的形成示意图,回答24--26题。

24.下列判断正确的是(   )

①此图出现的时间是夜晚 

②此图出现的时间是白天 

③此时吹山风      

④此时吹谷风。

A.①③     B.①④ 

C.②③     D.②④

25.对于图中的气温、气压的分析,正确的是(   )

A.图中的等温线的数值自下往上递增 

B.图中的等压线的数值自下往上递减

C.甲地的气温较同一高度的乙地高  

D.甲地的气压较同一高度的乙地低

26.据实际调查,图中甲地的夜雨较多,其主要原因是该地区(   )

A.夜晚的气温高于白天的气温,气流作上升运动

B.夜晚的气温比周围地区的气温低,气流作下沉运动

C.夜晚的气温比周围地区的气温高,气流作上升运动

D.夜晚的气温比周围地区高,蒸发旺盛,空气中的水汽丰富

试题详情

23.如图所示,能正确表示7月份亚欧大陆与太平洋气压分布及P地风向的是(   )

试题详情

下图示意世界某种气候类型的局部分布地区。完成20--22题。

20.该气候的分布地区中,①地区的分布最高纬度较低(低于35°S),其主要的影响因素是(   )  

    A.海陆分布    B.纬度位置 

C.地形 D.洋流

21.②地区最热月均温约为24℃~28℃,③地区西海

最热月均温约为16℃~21℃,导致这种气温差

别的最主要因素是(   )       

    A.纬度位置      B.海陆位置

    C.洋流 D.地形

22.该气候影响下的农作物一般具有(   )        (   )

A.耐低温干燥的特点

B.耐高温干燥的特点

C.喜高温多雨的特点

D.喜阴喜湿的特点

试题详情

下表反映了2001年-2050年世界移民趋势。据此完成18--19题。

迁出国
数量(万人/年)
迁入国
数量(万人/年)
中国
30.3
美国
110.0
墨西哥
26.7
德国
21.2
印度
22.2
加拿大
17.3
印度尼西亚
18.0
英国
13.6
菲律宾
14.4
澳大利亚
8.3

18.关于人口迁移的叙述,正确的是(   )                     

A.主要由人口多的国家迁往人口少的国家 B.主要由发展中国家迁往发达国家

C.全球迁出人口少于迁入人口      D.主要由亚洲国家迁往拉丁美洲国家

19.下列关于人口迁移影响的叙述,正确的是(   )                 

A.减轻了迁入地的就业压力        B.加重了迁出地的环境压力

  C.为迁入地提供劳动力,促进经济发展   D.对迁出地人们生活观念的更新没有帮助

试题详情

17.下列各国与下图中“产业结构”和“人口年龄结构”图所示特征

相吻合的是(   )

A.美国–甲 –丁   B.印度–甲 –丙  C.德国–乙 –丙  D.巴西–乙 –丁

试题详情

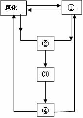
读五种外力相互联系、相互影响的示意图, 完成15--16题。

15.沙尘暴、泥石流属于哪种外力作用(   )

A.①   B.②    C.③    D.④

16.除风化作用外,对地貌景观影响较大的外力作用(   )   A.①②  B.①③  C.②③  D.③④

   

试题详情

读某地等高线图 ,回答12--14题。

12.如果在图中AB处修建水坝,形成的水库最大蓄水水位海拔为100米,那么图中要搬迁的村庄是(   )

A.乙村       B.甲村  

C.丁村       D.丙村

13.如果要在图中区域建一个火情监测点,最好选择(   )

A.戊点         B.辛点  

C.庚点        D.已点

14.该区域的植被类型是(   )

A.亚热带常绿阔叶林    

B.亚热带常绿硬叶林

C.温带落叶阔叶林   

D.热带季雨林

试题详情


同步练习册答案