0  317527  317535  317541  317545  317551  317553  317557  317563  317565  317571  317577  317581  317583  317587  317593  317595  317601  317605  317607  317611  317613  317617  317619  317621  317622  317623  317625  317626  317627  317629  317631  317635  317637  317641  317643  317647  317653  317655  317661  317665  317667  317671  317677  317683  317685  317691  317695  317697  317703  317707  317713  317721  447090 

10.如图所法,一带正电小球穿在一根绝缘的粗糙直杆上,杆与水平方向成θ角,整个空间存在着竖直向上的匀强电场和垂直于纸面向外的匀强磁场,小球沿杆向下运动。在A点时的动能为100J,在C点的动能减为零,B为AC的中点,在运动过程中下列说法正确的是(     )

     A.小球在B点时的动能为50J

B.小球电势能的增加量等于重力势能的减小量

C.小球在AB段克服摩擦力做的功与在BC段克服摩擦力做的功相等

D.到达C点后小球可能沿杆向上运动

试题详情

8.如图所示,波源S从平衡位置y=0开始振动,运动方向竖直向上(y轴的正方向),振动周期T=0.01s,产生的机械波向左、右两个方向传播,波速均为v=80m/s,经过一段时间后,PQ两点开始振动,已知距离SP=1.2m、SQ=2.6m.若以Q点开始振动的时刻作为计时的零点,则在下图所示的四幅振动图象中,能正确描述SPQ三点振动情况的是(   )

A.甲为Q点的振动图象  

B.乙为振源S点的振动图象

C.丙为P点的振动图象  

D.丁为P点的振动图象

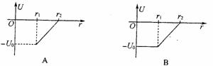
高考9.质子和中子是由更基本的粒子即所谓“夸克”组成的。两个强作用荷相反(类似于正负电荷)的夸克在距离很近时几乎没有相互作用(称为“渐近自由”);在距离较远时,它们之间就会出现很强的引力(导致所谓“夸克禁闭”)。作为一个简单的模型,设这样的两夸克之间的相互作用力F与它们之间的距离r的关系为F= 式中F0为大于零的常量,负号表示引力。用U表示夸克间的势能,令U0=F0(r2-r1),取无穷远为零势能点。图中U-r图示正确的是(    )

试题详情

7.如图所示,一根不可伸长的轻绳跨过固定于斜面体顶端的小滑轮O,两端分别系着小球A和物块B,倾角为30°的斜面体置于水平地面上。A的质量为m,B的质量为4m。开始时,用手托住A,使OA段绳恰处于水平伸直状态(绳中无拉力),OB绳平行于斜面,此时B静止不动。将A由静止释放,在其下摆过程中,斜面体始终保持静止,下列判断中正确的是(     )

     A.物块B受到的摩擦力先减小后增大    B.地面对斜面体的摩擦力方向一直向右

C.小球A的机械能守恒         D.小球A的机械能不守恒,A、B系统的机械能守恒

试题详情

6.把一个物体竖直向上抛出,从开始抛出到返回抛出点所经历的时间是t,上升的最大高度是h,所受空气阻力大小恒为f,则在t时间内(     )

     A.物体所受重力的冲量为零   

B.上升过程中空气阻力对物体的冲量比下降过程中的冲量小

C.物体动量变化的数值小于抛出时的动量数值

D.物体机械能的减小量等于fh

试题详情

5.一滑块在水平地面上沿直线滑行,t=0时速度为1 m/s,从此时刻开始在滑块运动直线上再施加一水平作用力F,力F和滑块的速度v随时间的变化规律分别如图所示.设在第1s、第2s、第3s内力F对滑块做的功分别为W1、W2、W3,则以下关系正确的是   (   )

     A.     

B.     

C.     

D.

试题详情

4.2007年11月5日,“嫦娥一号”探月卫星沿地月转移轨道到达月球,在距月

  球表面200km的点进行第一次刹车制动后被月球俘获,进入椭圆轨道Ⅰ

绕月飞行,然后,卫星在点又经过两次“刹车制动”,最终在距月球表面

200km的圆形轨道Ⅲ上绕月球做匀速圆周运动,如图所示,则下列说法正确

的是(   )

A.卫星在轨道Ⅲ上运动的周期比沿轨道Ⅰ运动的周期长

B.卫星在轨道Ⅲ上运动的周期比沿轨道Ⅰ运动的周期短

C.卫星在轨道Ⅲ上运动的加速度小于沿轨道Ⅰ运动到点时的加度度

D.卫星在轨道Ⅲ上运动的加速度等于沿轨道Ⅰ运动到点时的加速度

试题详情

3.压敏电阻的阻值随所受压力的增大而减小,某位同学利用压敏电阻设计了判断小车运动状态的装置,其工作原理如图所示,将压敏电阻和一块挡板固定在绝缘小车上,中间放置一个绝缘重球。小车向右做直线运动过程中,电流表示数如图所示,下列判断正确的是(   )

    

A.小车先做加速运动,然后做匀速直线运动

B.小车先做加速度增大的加速运动,然后做匀加速直线运动

C.小车先做加速度减小的加速运动,然后做匀加速直线运动

D.小车先做加速度增大的加速运动,然后做匀速直线运动

试题详情

2.以下几种对现象的分析,其中说法正确的是(    )

     A.因为空气分子间存在斥力,所以用气筒给自行车打气时,要用力才能压缩空气

     B.用手捏面包,面包体积会缩小,这是因为分子间有间隙的缘故

     C.用碳素墨水滴入清水中,观察到的布朗运动,是碳分子的无规则运动的反映

     D.悬浮在水中的花粉颗粒,永不停息地做无规则运动,若花粉颗粒越小,温度越高,

   这种运动越激烈

试题详情

1.分子运动是看不见的、摸不着的,其运动特征不容易研究,但科学家可能通过布朗运动认识它,这种方法叫做“转换法”。下列给出的四个研究实例中,研究方法与上述方法相同的是(  )

     A.牛顿通过对天体现象的研究,总结出了万有引力定律

B.爱因斯坦在普郎克量子学说的启发下提出了光子说

C.欧姆在研究电流、电压与电阻关系时,先保持电阻不变研究电流和电压的关系;

然后再保持电压不变研究电流和电阻的关系

D.奥斯特通过放在通电直导线下方的小磁针发生偏转的实验,得出通电导线周围存在

磁场的结论。

试题详情

22、(14分)如图点F为双曲线C的左焦点,左准线L交x轴于点Q,点P是L上的一点,|PQ|=|FQ|=1,且线段PF的中点M在双曲线C的左支上。

⑴求双曲线C的标准方程。

⑵若过点F的直线m与双曲线C的左、右两支分别交于A、B两点,设,当时,求直线m的斜率k的取值范围

试题详情


同步练习册答案