0  329563  329571  329577  329581  329587  329589  329593  329599  329601  329607  329613  329617  329619  329623  329629  329631  329637  329641  329643  329647  329649  329653  329655  329657  329658  329659  329661  329662  329663  329665  329667  329671  329673  329677  329679  329683  329689  329691  329697  329701  329703  329707  329713  329719  329721  329727  329731  329733  329739  329743  329749  329757  447090 

21.北京市昌平一中高三年级第二次月考质量为50kg的物体放在光滑的水平面上,某人用绳子沿着与水平面成45°角的方向拉物体前进,绳子的拉力为200N,物体的加速度大小为      .在拉的过程中突然松手瞬间,物体的加速度大小为        

答案: m/s2  0

试题详情

20. 湖南省同升湖实验学校2010届高三第三次月考如图所示,在上表面光滑的小车上放有质量为的物块和质量为的小球,且.开始时,物块、小球与小车一起在水平面上做匀速直线运动,现让小车向右做匀加速运动,则(  D  )

A.由于,物块将向前与小球相碰

B.由于,物块的惯性大,在小车上小球相对物块向左运动

C.由于,物块的惯性大,在小车上小球相对物块向右运动

D.物块质量大,惯性也大,但在小车上小球相对物块仍静止

试题详情

19.浙江省温州市十校联合体2010届高三期中联考如图(a)所示,用一水平外力F拉着一个静止在倾角为θ的光滑斜面上的物体,逐渐增大F,物体做变加速运动,其加速度a随外力F变化的图像如图(b)所示,若重力加速度g取10m/s2.根据图(b)中所提供的信息可以计算出(  AB  )

A.物体的质量  

B.斜面的倾角

C.斜面的长度  

D.加速度为6m/s2时物体的速度

试题详情

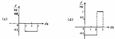
18.重庆八中2010届高三上学期第一次月考如图所示,在倾角为30°的足够长的光滑斜面上有一质量为的物体,它受到沿斜面方向的力F的作用。力F可按图(a)、(b)、(c)、(d)所示的四种方式随时间变化(图中纵坐标是Fmg的比值,为沿斜面向上为正)

  已知此物体在t=0时速度为零,若用分别表示上述四种受力情况下物体在3秒末的速率,则这四个速率中最大的是  (  C  )

A.            B.          C.         D.

试题详情

17.合肥一六八中学2010届高三第二次段考如图所示,光滑水平面上,在拉力F作用下,AB共同以加速度a做匀加速直线运动,某时刻突然撤去拉力F,此瞬时A和B的加速度为a1和a2,则(  D  )

A.a1=0,a2=0     

B.a1=a,a2=0

C.a1a  a 

D.a1=a  a2=-a

试题详情

16. 贵州省开阳三中2010届高三10月月考轻质弹簧的上端固定在电梯的天花板上,弹簧下端悬挂一个小球,电梯中有质量为50kg的乘客如图6所示,在电梯运行时乘客发现轻质弹簧的伸长量是电梯静止时的一半,取g=10m/s2这一现象表明( D ).

A.电梯此时可能正以1m/s2的加速度大小加速上升,也可能是以1m/s2加速大小减速上升

B.电梯此时不可能是以1 m/s2的加速度大小减速上升,只能是以5 m/s2的加  速度大小加速下降

C.电梯此时可能正以5m/s2的加速度大小加速上升,也可能是以5m/s2大小的加速度大小减速下降

D.不论电梯此时是上升还是下降,加速还是减速,乘客对电梯地板的压力大小一定是250N

试题详情

15.甘肃省兰州55中2010届高三第一学期期中考试卷一个以初速度沿直线运动的物体,t秒末速度为,如图4,则关于t秒内物体运动的平均速度和加速度a说法中正确的是(  D  )

A.        B.s

C.a恒定             D.a随时间逐渐减小

试题详情

14.合肥一六八中学复读年级第二次段考放在水平地面上的一物块,受到方向不变的水平推力F的作用,F的大小与时间t的关系和物块速度v与时间t 的关系如图所示。取重力加速度g=10m/s2。由此两图线可以求得物块的质量m和物块与地面之间的动摩擦因数μ分别为  (  A  )

A.m=0.5kg,μ=0.4         B.m=1.5kg,μ

C.m=0.5kg,μ=0.2         D.m=1kg,μ=0.2

试题详情

13.甘肃省兰州55中2010届高三第一学期期中考试卷质量为M的木块位于粗糙水平桌面上,若用大小为F的水平恒力拉木块,其加速度为a,当拉力方向不变,大小变为2F时,木块的加速度为a,则   (  B  )

    A.          B.         C.     D.

试题详情

12.合肥一六八中学2010届高三第二次段考电梯的顶部挂有一个弹簧秤,秤下端挂了一个重物,电梯匀速直线运动时,弹簧秤的示数为10N。电梯由静止开始做匀变速运动,在某时刻电梯中的人观察到弹簧秤的示数变为8N,关于电梯的运动,以下说法正确的是(  B  )

A.电梯可能向上加速运动,加速度大小为2m/s2

B.电梯可能向下加速运动,加速度大小为2m/s2

C.电梯可能向上减速运动,加速度大小为2m/s2

D.电梯可能向下减速运动,加速度大小为2m/s2

试题详情


同步练习册答案