0  330972  330980  330986  330990  330996  330998  331002  331008  331010  331016  331022  331026  331028  331032  331038  331040  331046  331050  331052  331056  331058  331062  331064  331066  331067  331068  331070  331071  331072  331074  331076  331080  331082  331086  331088  331092  331098  331100  331106  331110  331112  331116  331122  331128  331130  331136  331140  331142  331148  331152  331158  331166  447090 

10. 如图所示,固定放置在同一水平面内的两根平行长直金属导轨的间距为d,其右端接有阻值为R的电阻,整个装置处在竖直向上磁感应强度大小为B的匀强磁场中. 一质量为m(质量分布均匀)的导体杆ab垂直于导轨放置,且与两导轨保持良好接触,杆与导轨之间的动摩擦因数为μ. 现杆在水平向左、垂直于杆的恒力F作用下从静止开始沿导轨运动距离l时,速度恰好达到最大(运动过程中杆始终与导轨保持垂直). 设杆接入电路的电阻为r,导轨电阻不计,重力加速度大小为g. 则此过程(    )

试题详情

9. 带电粒子(重力不计)以垂直于场的速度进入匀强电场或匀强磁场中时,粒子将发生偏转,这种电场或磁场称为偏转电场或偏转磁场. 下列说法中错误的是(    )

  A. 欲把速度不同的同种带电粒子分开,偏转电场或偏转磁场均可采用

  B. 欲把动能相同的质子和α粒子分开,只能采用偏转电场

  C. 欲把由静止经同一加速电压加速的质子和α粒子分开,偏转电场或偏转磁场均可采用

  D. 欲把初速度相同而比荷不同的带电粒子分开,偏转电场或偏转磁场均可采用

试题详情

8. 如图所示,质量为m的物体A放在倾角为θ的斜面体B上,并在图示的水平恒力F作用下使它们之间刚好不发生相对滑动而向左运动. 已知斜面和水平面均光滑, 那么下列关于这个物理情境的讨论中正确的是(    )

  A. 题目中描述的这种物理情境不可能发生

  B. AB只有向左匀速运动时才能发生这种可能

  C. 斜面体B对物体A不做功是由于它们之间的弹力方向垂直于斜面

  D. AB具有共同加速度时能发生,且恒力F大小为(M+m)gtanθ

试题详情

7. 如图所示,图线a是线圈在匀强磁场中匀速转动时所产生正弦交流电的图象,当调整线圈转速后,所产生的正弦交流电图象如图线b所示. 以下关于这两个正弦交流电的说法正确的是(    )

A. 在图中t=0时刻穿过线圈的磁通量均为零

B. 线圈先后两次转速之比为3∶2

C. 交流电a的瞬时值表示为u=10sin5πt V

  D. 交流电b的有效值为10/3 V

试题详情

6. 如图所示,在垂直纸面向里的匀强磁场的边界上,有两个质量和电荷量均相同的正、负粒子(不计重力影响), 从O点以相同的速度先后射入磁场中,入射方向与边界成θ角, 则正、负粒子在磁场中(    )

A. 运动时间相同              B. 运动轨迹的半径相同

C. 重新回到边界时速度的大小和方向相同   D. 重新回到边界的位置与O点的距离相等

试题详情

5. 酒精测试仪用于对机动车驾驶人员是否酒后驾车及其他严禁酒后作业人员的现场检测,它利用的是一种二氧化锡半导体型酒精气体传感器. 酒精气体传感器的电阻随酒精气体浓度的变化而变化,在如图所示的电路中,不同的酒精气体浓度对应着传感器的不同电阻,这样,显示仪表的指针就与酒精气体浓度有了对应关系. 如果二氧化锡半导体型酒精气体传感器电阻r′的倒数与酒精气体的浓度成正比,那么,电压表示数U与酒精气体浓度c之间的对应关系正确的是(    )

A. U越大,表示c越大,cU成正比

B. U越大,表示c越大,但是cU不成正比

C. U越大,表示c越小,cU成反比

D. U越大,表示c越小,但是cU不成反比

试题详情

4. 一根细线一端系一小球(可视为质点),另一端固定在光滑圆锥顶上,如图所示. 设小球在水平面内做匀速圆周运动的角速度为ω,线的张力为T,则Tω2变化的图象是图中的(    )

试题详情

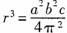
3. 地球同步卫星到地心的距离r可由求出. 已知式中a的单位是mb的单位是sc的单位是ms2,则(    )

  A. a是地球半径,b是地球自转的周期,c是地球表面处的重力加速度

  B. a是地球半径,b是同步卫星绕地心运动的周期,c是同步卫星的加速度

  C. a是赤道周长,b是地球自转的周期,c是同步卫星的加速度

  D. a是地球半径,b是同步卫星绕地心运动的周期,c是地球表面处的重力加速度

试题详情

2. 如图所示,分别用F1F2F3将质量为m的物体由静止沿同一光滑斜面以相同的加速度从斜面底端拉到斜面的顶端,物体到达斜面顶端时,力F1F2F3的功率关系为(    )

A. P1P2P3      B. P1P2P3

C. P3P2P1      D. P1P2P3

试题详情

1. 某军事试验场正在平地上试射地对空导弹,若某次竖直向上发射导弹时发生故障,导弹vt图像如图所示,则下述说法中正确的是(    )

A. 0-1 s内导弹匀速上升   B. 1 s-2 s内导弹静止不动

C. 3 s末导弹上升到最高点  D. 5 s末导弹恰好回到出发点

试题详情


同步练习册答案