0  333108  333116  333122  333126  333132  333134  333138  333144  333146  333152  333158  333162  333164  333168  333174  333176  333182  333186  333188  333192  333194  333198  333200  333202  333203  333204  333206  333207  333208  333210  333212  333216  333218  333222  333224  333228  333234  333236  333242  333246  333248  333252  333258  333264  333266  333272  333276  333278  333284  333288  333294  333302  447090 

7.回归直线斜率的估计值为,样本点的中心则回归直线方程(   )        

   A.      B.   

   C.     D.

试题详情

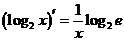
6.下列求导正确的是                      (   )   

  A.     B.

  C.     D.

试题详情

5.已知函数的图像在点处的切线方程是,则          (   )         

  A.   B.    C.    D.

试题详情

4.若上是减函数,则的取值范围是  (   )

  A.   B    C.   D.

试题详情

3.函数上的最小值为              (   )

  A.     B.    C.    D.

试题详情

1.函数有                     (   )             

A.极小值-1,极大值1   B.  极小值-2,极大值3 

C. 极小值-2,极大值2  D. 极小值-1,极大值3

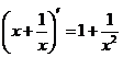
2.已知曲线的一条切线的斜率为,则切点的横坐标为(   ) A.     B.     C.     D.        

试题详情


同步练习册答案