0  333152  333160  333166  333170  333176  333178  333182  333188  333190  333196  333202  333206  333208  333212  333218  333220  333226  333230  333232  333236  333238  333242  333244  333246  333247  333248  333250  333251  333252  333254  333256  333260  333262  333266  333268  333272  333278  333280  333286  333290  333292  333296  333302  333308  333310  333316  333320  333322  333328  333332  333338  333346  447090 

3.关于图甲中Q湖泊成因的说法正确的是

  A.非洲板块与亚欧板块的张裂处     B.非洲板块与亚欧板块的消亡边界

  C.非洲板块与印度洋板块的张裂处    D.非洲板块与印度洋板块的消亡边界

试题详情

2.阶段Ⅲ,该国新增就业机会主要来自

  A.劳动密集型产业   B.技术密集型产业

  C.资源密集型产业   D.服务业

读图2,回答3--4题。

试题详情

1.关于该国工业化、城市化进程特点的叙述正确的是

  A.城市化与工业化呈同步增长趋势   B.阶段I城市化进程速度比阶段Ⅱ快

  C.该国可能属于发展中国家      D.阶段Ⅱ,工业化促进了城市化

试题详情

22.本小题满分12分

   已知函数f(x)=x+,g(x)=x+lnx,其中a>0.

  (Ⅰ)若x=1是函数h(x)=f(x)+g(x)的极值点,求实数a的值;

  (Ⅱ)若对任意的x1、x2∈[1,e](e为自然对数的底数)都有f(x1)≥g(x2)成立,求实数a的取值范围.

试题详情

21.本小题满分12分

   已知A、B、C是长轴长为4的椭圆上的三点,点A是长轴的一个端点,BC过椭圆的中心O,且·=0,||=2||.

  (Ⅰ)求椭圆的方程;

  (Ⅱ)如果椭圆上的两点P、Q使∠PCQ的平分线垂直于OA,那么是否总存在实数λ,使得=λ?请说明理由.

试题详情

20.本小题满分12分

   已知数列{}的前n项和为,若a1=2,n·+n(n+1),

  (Ⅰ)求数列{}的通项公式;

  (Ⅱ)令Tn,①当n取何正整数时,>,成立;②若对一切正整数n,总有

≤m,求实数m的取值范围.

试题详情

19.本小题满分12分

   如图,在四棱锥E-ABCD中,AB⊥平面BCE,CD⊥平面BCE,AB=BC=CE=2CD=4,∠BCE=60°.

  (Ⅰ)证明:平面BAE⊥平面DAE;

  (Ⅱ)设线段AB的中点为P,求直线PE与平面DCE所 

成的角

试题详情

18.本小题满分12分

   据统计,某大型商场一个月内被消费者投诉的次数为0,1,2的概率分别为0.4,0.5,0.1.假设一月份与二月份被消费者投诉的次数互不影响.

  (Ⅰ)求该商场在这两个月内共被消费者投诉2次的概率;

  (Ⅱ)求该商场在这两个月内被消费者投诉的次数ξ的分布列及其数学期望.

试题详情

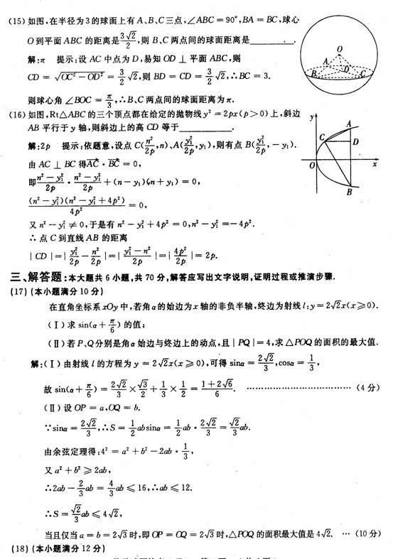
17.本小题满分10分  

在直角坐标系xOy中,若角α的始边为x轴的非负半轴,终边为射线l :y=2x

(x≥0).

  (Ⅰ)求sin(α+)的值;

  (Ⅱ)若P、Q分别是角α始边与终边上的动点,且|PQ|=4,求△POQ的面积的最大值.

试题详情

16.如图,Rt△ABC的三个顶点都在给定的抛物线y2=2px

(p>0)上,斜边AB平行于y轴,则斜边上的高CD

等于___________.

试题详情


同步练习册答案