0  334185  334193  334199  334203  334209  334211  334215  334221  334223  334229  334235  334239  334241  334245  334251  334253  334259  334263  334265  334269  334271  334275  334277  334279  334280  334281  334283  334284  334285  334287  334289  334293  334295  334299  334301  334305  334311  334313  334319  334323  334325  334329  334335  334341  334343  334349  334353  334355  334361  334365  334371  334379  447090 

10.若ab,则的值是      .

试题详情

9.函数的定义域是      .

试题详情

8. 如图,设点P在△ABC内,且,则△ABP的面积与△ABC的面积之比为                                       (   )

A.     B.             C.          D.

试题详情

7.某农贸市场出售西红柿,当价格上涨时,供给量相应增加,而需求量相应减少,具体调查结果如下表:

表1 市场供给量

单价(元/kg)
2
2.4
2.8
3.2
3.6
4
供给量(1000kg)
50
60
70
75
80
90

表2 市场需求量

单价(元/kg)
4
3.4
2.9
2.6
2.3
2
需求量(1000kg)
50
60
65
70
75
80

根据以上提供的信息,市场供需平衡点(即供给量和需求量相等时的单价)应在区间(  )

A.(2.3,2.4)内                    B.(2.4,2.6)内

C.(2.6,2.8)内                  D.(2.8,2.9)内

试题详情

6.已知,则的值是                                       (   )

     A.                      B.0                   C.1                   D.

试题详情

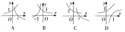
4. 函数()在同一坐标系中的图象可能是         (   )

5 已知的值是                                          (   )

     A.                                              B.

     C.                                             D.

试题详情

3. 化简cos2010°的结果是                                                         (   )

A.          2. 如图,DEF分别是△ABC各边的中点,在以ABCDEF为起    B.             C.               D.

试题详情

2. 如图,DEF分别是△ABC各边的中点,在以ABCDEF为起点和终点的向量中,其中与相等的向量(不含)有    (   )

   A.1个                                        B.2个 

C.3个                                        D.4个

试题详情

1. 设集合,则                                 (   )

     A.                  B. {1}                   C. {}                 D. {}

试题详情


同步练习册答案