0  334247  334255  334261  334265  334271  334273  334277  334283  334285  334291  334297  334301  334303  334307  334313  334315  334321  334325  334327  334331  334333  334337  334339  334341  334342  334343  334345  334346  334347  334349  334351  334355  334357  334361  334363  334367  334373  334375  334381  334385  334387  334391  334397  334403  334405  334411  334415  334417  334423  334427  334433  334441  447090 

22、⑴I1=1A,计算出来最佳                   1分

⑵由图象可知两灯正常工作电流I1=1A;   I2=0.5A,由于两灯串联,所以电路中正常工作的电灯应为L2  ;电路中电流I= 0.5A.      2分

⑶由图象可知电路中电流为0.5A时,U1=2V;  U2=6V

电源电压U=8V                             2分

⑷电功率P=4W                             2分   共7分

试题详情

23、小明利用标有 “6V  6W”的灯泡L1和“6V  3W”的灯泡L2进行实验。

(1)当L1正常发光时通过的电流多少A?

(2)如图甲所示:OA和OB分别为通过灯泡L1和L2中的电流随两端电压变化关系的曲线。现将两灯连入图乙所示电路,要使其中一个灯泡正常发光,电路中电流表的示数为多少A?电源的电压是多少?电路消耗的总功率为多少?(7分)

   

五月联考物理评分标准

⑵开水质量60㎏                2分

⑶改善环境卫生,提高生活水平

节约能源或利用可再生能源

节省开支                       只要有一项相近可得1分,共5分

试题详情

22、沼气生产主要是利用人、畜(禽)粪便,稻草,杂草,玉米高粱秆作为原料,在沼气池里经发酵后生成。据调查,一个五口之家,每天煮饭炒菜、热水洗澡需要消耗沼气0.6m3,那么这些沼气完全燃烧产生的热量是多少?若有30%热量被水吸收,能把多少40℃的水烧开(沼气的热值约为8.4×107J/m3)? 推广使用沼气对新农村建设有什么好处(至少讲一点)?(5分)

试题详情

21、一辆质量为6t的载货汽车,在平直的公路上以90km/h的速度匀速行驶30min,汽车受到的阻力为车重的0.06倍(取g=10N/kg) (6分)

求:⑴汽车所受重力是多少?

⑵汽车克服阻力做的功的多少?

⑶汽车有6个轮子,每个轮子与地面的接触面积约为 250 cm2,汽车对地面的压强约是多大?

试题详情

41、解:(1)F= PS= 105Pa×1210-4m2=120N.

(2)m=G/g=120N/10N/kg=12 kg .

试题详情

43.小芳利用电阻值分别为的两根电阻丝,两个开关()和若干导线,设计一台有低、中、高三挡不同的电功率的电取暖器,简化后的电路图如图所示。求:

   (1)电取暖器工作于低挡时,的断开或闭合情况是怎样的?此时电路的电流和电功率多大?

   (2)电取暖器工作于高挡时,的断开或闭合情况又是怎样的?此时电路的干路电流和电功率多大?(计算结果保留小数点后两位)

试题详情

42. 不同的物体在液体中的浮沉情况不同,其所受浮力的计算方法也不同。

(1)将质量为500g,体积为1dm3的木块放入水中,木块静止时所受到的浮力是多少?

(2)将质量为7.9kg,密度为7.9g/cm3的铁块放入水中,静止时所受浮力为多少?

试题详情

41.  伪气功师常利用所谓“空手吸盆”的“特异”功能行骗,其做法是先偷偷把塑料挂衣钩的吸盘紧密地压在平滑的脸盆底部如图所示。在大气压的作用下,塑料挂衣钩的吸盘和脸盆被紧紧地压在一起,伪气功师只要用手抓住隐藏着的挂衣钩,就能把盛有一定质量水的脸盆提起来。

   王伟同学用受力面积为的吸盘,成功地做了“空手吸盆”的表演。若当时的大气压值为,请根据以上数据求:

(1)大气压对塑料吸盘产生的压力是多大?

(2)若脸盆的质量为1 kg,则王伟同学的“空手吸盆”实验最多能提起质量是多少千克的水?(塑料吸盘的重及盆中水对吸盘压力都不计,g取10 N/kg)

试题详情

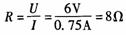
33.(6分)标有“6V 3W ”的小灯泡L与额定功率为6W的电阻器R按如图18电路连接,闭合开关S时,灯L正常发光,且电流表示数为0.75A。求:

(1)电阻器 R 的阻值;

(2)整个电路消耗的实际功率。

小强同学的求解如下:

解: ① 根据欧姆定律,电阻器的电阻

② 电阻R消耗的实际电功率PR= 6W,整个电路消耗的实际功率P=PR+PL = 6W + 3W= 9W

请你指出小强同学求解过程中存在的错误,并做出正确的解答。

答:(l)电阻器R的阻值为__________Ω;

(2)整个电路消耗的实际功率为__________W 。

试题详情

12、在房间里只要有一人吸烟,房间很快就充满烟味,这一现象说明气体分子               。所以,为了你和他人的健康,请不要吸烟。

试题详情


同步练习册答案