0  337062  337070  337076  337080  337086  337088  337092  337098  337100  337106  337112  337116  337118  337122  337128  337130  337136  337140  337142  337146  337148  337152  337154  337156  337157  337158  337160  337161  337162  337164  337166  337170  337172  337176  337178  337182  337188  337190  337196  337200  337202  337206  337212  337218  337220  337226  337230  337232  337238  337242  337248  337256  447090 

7.下列离子施工书写正确的是  

  A.向稀溶液中加入醋酸:

  B.用铁作电极电解饱和食盐水:

  C.溴乙烷中滴入AgNO3溶液检验其中的溴元素:

  D.向明矾溶液中逐滴加入氢氧化钡溶液至沉淀质量最大:  

      

试题详情

6.化学是一门实用的中心学科,生活中的许多问题常涉及到化学。下列有关化学知识叙述

正确的是

A.制作航天服的聚酯纤维和用于光缆通信的光导纤维都是新型有机高分子材料,糖类、

蛋白质、氨基酸、纤维素都是天然高分子化合物

B.化工生产:氯碱工业、硫酸工业、普通玻璃工业、合成氨工业过程中均涉及氧化还

原反应

C.次氯酸和臭氧都是强氧化剂,都能杀死水中的细菌。自来水常用氯气来杀菌消毒,

是因为氯气杀菌消毒效果要比臭氧好,且不会残留有毒、有害的物质

D.夏天到了,游客常佩戴添加了溴化银(或氯化银)和微量氧化铜的玻璃制作的变色

眼镜来保护眼睛

试题详情

5.2005年3月9日,广州增城出入境检验检疫局从进口废纸中截获入侵红火蚁。若其流入增内适宜的环境中,其种群增长曲线是  

试题详情

4.以下对生物激素调节及其应用方面的说法中,正确的是  

A.某农民种的小麦在扬花期受到大风袭击,影响了传粉,该农民给小麦喷洒了一定浓

度的生长素,他认为这样能避免小麦减产

B.甲状腺激素分泌不足时,蝌蚪会停止生长,因而不能形成青蛙成体;幼年人会患呆

小症:成年人耗氧量会增加

C.切除动物的垂体后,动物血液中的生长激素和甲状腺激素都会减少,而下丘脑分泌

的促甲状腺激素释放激素会增加

D.激素间的协同作用对于维持动物内环境的稳态、正常的新陈代谢和生长发育等都有

非常重要的意义;而激素间的拮抗作川对机体是不利的,机体能通过反馈调节来缓解

这种作用

试题详情

3.结核杆菌是结核病的病原体。近年来因抗药菌株增多等原因,使人类结核病的发病率和

乡死亡率上升。下列有关结核杆菌的叙述,正确的是  

A.结核杆菌的基本结构包括细胞壁、细胞膜、绍胞质和细胞核

B.结核杆菌抗药性的产生是应用抗生素诱导基因突变的结果

C.接神卡介苗后,T细胞受刺激成为记忆细胞,产生相应的抗体

D.感染结核杆菌后,机体主要通过特异性细胞免疫的作用将其消灭

试题详情

2.为了研究,心基冈重编等方法生产的干扰素对癌症的治疗效果,有人计划进行如下实验:

(1)从癌症患者身上取得癌细胞,并培养此种细胞;

(2)给培养中的癌细胞添加干扰素;

(3)观察干扰素是否对癌细胞的生长带来了变化

上述的实验计划中存在不足。下列可供选择的改进方法中,正确的是

①将培养的癌细胞分成两组,一组添加干扰素,一组不添加干扰素,分别观察生长情况;

②直接给癌痘患者注射干扰素,进行临床实验;

③设置一系列不同质量分数能干扰素,分别添加给培养中的癌细胞,观察生长情况。

A.②③                 B.①②                C.①③                 D.①②③

试题详情

1.下列关于人体内环境的描述中,错误的是

A.血浆的主要成分包括水、葡萄糖、血红蛋白和激素等

B.免疫对内环境稳态具有重要作用

C.HCO3、H2PO4等参与维持血浆pH相对稳定

D.淋巴细胞生活的液体环境是淋巴、血浆等

试题详情

22.(14分)已知数列的前项和满足。  

     (1)写出数列的前三项

     (2)求数列的通项公式;

     (3)证明:对任意的整数,有

试题详情

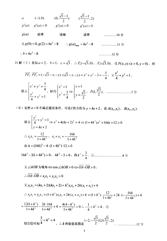
21.(12分)已知分别是椭圆的左、右焦点。

     (I)若P是第一象限内该椭圆上的一点,,求点P的坐标;

     (II)设过定点M(0,2)的直线与椭圆交于同的两点A、B,且为锐角(其中O伟坐标原点),求直线的斜率的取值范围。  

试题详情

20.(12分)已知  

     (I)若,求的单调区间和极值;

     (II)已知的两个不同的极值点,且,若

     恒成立,求实数b的取值范围。

试题详情


同步练习册答案