0  338007  338015  338021  338025  338031  338033  338037  338043  338045  338051  338057  338061  338063  338067  338073  338075  338081  338085  338087  338091  338093  338097  338099  338101  338102  338103  338105  338106  338107  338109  338111  338115  338117  338121  338123  338127  338133  338135  338141  338145  338147  338151  338157  338163  338165  338171  338175  338177  338183  338187  338193  338201  447090 

29.(16分)已知A、B、C、D为四种单质,常温时,A、B是气体,C、D足固体且D显淡黄色。E、F、G、H、I为五种化合物,E为气体且极易溶于水成为无色溶液,F不溶干水,G溶于水得黄棕色溶液。这九种物质间反应的转化关系如下图所示:

(I)写出四种单质的化学式

A_______,B_______,C_______,D_______。

(2)用电子式表示E的形成过程____________________________________;化台物I的晶体类型为_________________________,其空间构型为_______。

  (3)写出G+I→H+D+E的化学方程式_____________________________________________。

  (4)某工厂用B制漂白粉。为测定该工厂制得的漂白粉中有效成分的含量,兴趣小组的同学进行了如下实验:称取漂白粉样品2.0g,研磨后溶解,配置成250mL溶液,取出25.00mL加人到锥形瓶中,再加入过量的KI溶液和过量的硫酸,此时发生的离子方程式为:_________________________________。静置,待完全反应后,用0.1mol·L-1的Na2S2O3溶液做标准溶液滴定反应生成的碘,已知反应式为:2Na2S2O3+I3=Na2S4O6+2NaI,共用去Na2S2O3溶液20.00ml.。则该漂白粉样品中有效成分的质量分数为________(保留到小数点后两位)。

试题详情

28.(14分)(1)已知pH =2的高碘酸(H5IO6)溶液与Ph=12的NaOH溶液等体积混合,所得混台液显酸性;则高碘酸是____(填“强酸”或“弱酸”),理由是:          

   已知0.0lm01.L-1的碘酸( HIO6))或高锰酸(HMnO4)溶液与pH= 12的NaOH溶液等体积混合,所得混合液显中性,且知高碘酸和硫酸锰( MnSO4)在溶液中反应生成高锰酸、碘酸和硫酸,则此反应的离子方程式是           

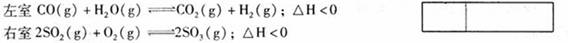
   (2)体积不变的密闭容器内部有一不漏气且可滑动的话塞将容器分成左右两个室,左室内充入一定体积的CO和H2O气体,右室充人SO2和O2两种气体共4mol,且SO2和O2的物质的量之比为2:1,左右两室内各可发生如下反应:

  反应开始时活塞停留在离左端点处,反应在恒温下进行,当达平衡状态时,活塞处于容器中间。反应达平衡时,生成SO3______mol,此时若再向左室中充入与原物质的量之比相同的CO和H2O气体,则达到新平衡时CO的物质的量分数____,SO2的物质的量分数______。(填“不变”或“变小”或“变大”)

试题详情

27.(16分)Ⅰ、下面a~e是中学化学实验中常见的几种定量仪器:

A、量筒     b、容量瓶       c、滴定管       d、托平天平     e、温度计

(1)上述仪器中标有0刻度的玻璃仪器是      (填序号)。

(2)若用上述仪器测定中和热,则缺少的玻璃仪器为烧杯、      

Ⅱ、某化学兴趣小组的同学利用下图所示实验装置进行实验(图中a、b、c表示止水夹)。

请按要求填空:

(1)利用B装置可制取的气体有      (写出两种即可)。

(2)A、B、E相连后的装置可用于制取Cl2并进行相关的性质实验。

若在丙中加入适量水,即可制得氯水。将所得氯水分成两份,进行如下①、②两个实验,实验操作、现象、结论如下:

实验序号
实验操作
现象
结论

将氯水滴入品红溶液
溶液褪色
氯水有漂泊作用

氯水中加入NaHCO3粉末
有无色气泡产生
氯气与水反应的产物具有较强的酸性

请你评价实验①、②的结论是否合理?      ;若不合理,请说明理由:     

(3)将B、D、E装置相连后,在B中盛装浓硝酸和铜片(铜片放在有孔塑料板上),制得NO2后,进行以下实验。

①欲用D装置验证NO2与水的反应,其操作步骤为:先关闭止水夹      ,再打开止水夹      ,使烧杯中的水进入试管丁的操作是____。

②试管丁中的NO2与水充分反应后,若向试管内缓缓通人一定量的O2,直至试管全部充满溶液,则原NO2与通人O2的物质的量之比为      

③尾气吸收的装置是____(填序号)。

试题详情

26.(21分)如图所示,y轴右侧空间存在匀强电场和匀强磁场,电场方向为y轴正方向,磁场方向垂直于xy平面(纸面)向外,电场和磁场部可以随意加上或撤除,重新加上的电场或磁场与撤除前的一样。一带正电荷的粒子从y轴上某点以一定的速度v0平行于x轴正向入射。这时若只有磁场,粒子将做半径为R0的圆周运动。若同时存在电场和磁场,粒子恰好做直线运动。现在,只加电场,当粒子从y轴上某点P以一定的速度v0平行于x轴正向入射,运动到x= R0平面(图中虚线所示)时,立即撤出电场同事加上磁场,粒子继续运动,粒子重力忽略不计。求:

(1)粒子到达x= R0平面平面时的速度。

(2)若要粒子运动轨迹与x轴相交,粒子的入射点P在y轴的入射范围。

试题详情

25.(18分)如图所示,在水平滑道的右端与斜面滑道平滑相接,整个滑道除M、N间粗糙外,其余滑道均光滑。现将一个弹簧振子安装在水平滑道的左端,O点是振子B的平衡位置。让滑块A从斜面P处以初速度为沿滑道斜面下滑,通过M点没有机械能损失。经过M、N后,与O处静止的振子B发生碰撞,碰撞后滑块A反弹向右运动,到达斜面中点后又重新下滑,振子B在O点附近做简谐振动。已知,均可视为质点的滑块A与振子B的质量分别为m和2m,M、N间距为L,P、M间距为2L,斜面倾角为30°,滑道M、N间的动摩擦因数=0.5。问:

   (1)与振子B发生第一次碰撞前的瞬间,滑块 A的速度是多大?

   (2)滑块A能否与振子B发生第二次碰撞?为什么?

   (3)整个运动过程中系统损失的机械能是多大?

试题详情

24.(15分)质量均为1kg的两个物块a、b,在相同水平地面上同向运动,如图中的两条直线为它们运动的图象,t=0时刻两者经过同一地点。已知其中某一物块还受到水平恒定拉力F作用,两物块与地面的动摩擦因素相同,问:

   (1)哪一物块受到水平拉力作用?其所受拉力F是多大?

   (2)8s末a、b间的距离是多少?

试题详情

23.(10分)某兴趣小组为了测量一待测电阻Rx的阻值,首先用多用电表粗测出它的阻值,然后再用伏安法更精确地测量。实验室里准备了以下器材:

   A.多用电表                         B.电压表V1,量程2V,内阻约4

   C.电压表V2,量程15V,内阻约20k     D.电流表A1,量程0.6A.内阻r1约l

   E.电流表A2,量程1.2mA.内阻k=50   F.滑动变阻器R3.,最大阻值5

   G.滑动变阻器R2,最大阻值50             H电阻箱R,,阻值(0-9999. 9)

   另有:电源(电动势约6V),导线、电键若干

   (l)①在用多用电表粗测电阻时,该兴趣小组首先选用“xl0”欧姆挡,其阻值如图甲中指针所示,为了减小多用电表的读数误差,多用电表的选择开关应换用____欧姆挡;

  ②按正确的操作程序再一次用多用电表测量该待测电阻的阻值时,其阻值如图乙中指针所示,则Rx的阻值大约是____

   (2)①在用伏安法测量该电阻的阻值时,要求待测电阻的电压从零开始可以连续调节,测量时两电表指针偏转均超过其量程的一半。则在上述器材中,除了电源、导线、电键外还应选用的器材是      (填器材前而的字母序号);

  ②在虚线框内画出用伏安法测量该电阻阻值时的实验电路图。

  ③若选测量数据中的一组来计算Rx.则Rx=      ,表达式中各个符号物理的意义是:____

试题详情

21.如图所示,空间有一垂直纸面向外的磁感应强度为0. 5T的匀强磁场,一质量为0. 2kg且足够长的绝缘木板静止在光滑水平面上,在木板左端放置一质最为0.lkg、带电荷量q=+0. 2C的滑块,滑块与绝缘木板之问动摩擦因数为0.5,滑块受到的最大静摩擦力可认为等于滑动摩擦力。现对木板施加方向水平向左,大小为0.6N的恒力,g取10m/s2.则

A.木板和滑块一直做加速度为2 m/s2的匀加速运动

B.滑块开始做匀加速直线运动,然后做加速度减小的变加速运动,最后做匀速运动

C.最终木板做加速度为2 m/s2的匀加速直线运动,滑块做速度为10m/s的匀速运动

D.最终木板做加速度为3 m/s2的匀加速直线运动,滑块做速度为10m/s的匀速运动

第Ⅱ卷(非选择题共174分)

  (1)(3分)用游标为20分度的游标卡尺测量一小球的直径,测量示数如图所示,该小球的直径为     mm。

   (2)(5分)某同学设计了一个用电磁打点计时器验证动量守恒定律的实验,如图(1)所示。在长木板右端下方垫一小木块以平衡摩擦力,使甲、乙两小车均能在木板上做匀速运动。小车甲的前端粘有橡皮泥,轻轻推小车甲,使之做匀速运动后与原来静止在前方的小车乙相碰,碰后甲、乙两车粘合成一体继续做匀速运动,电磁打点计时器在连接着小车甲后端的纸带上打出的点迹如图(2)所示。现测得相邻两个计数点间的距离(已标在图上),且已知小车甲、乙两车的质位分别为m = 0. 4kg、m=0.2kg,交流电源的频率为50HZ。则从纸带中可以判定:甲、乙两车发生碰撞是在     两计数点之间;碰前两车的总动最为      kg·m/s,碰后两车的总动量为      kg·m/s。 实验表明:在误差允许的范围内,甲乙两车构成的系统碰撞过程中动量守恒。(保留三位有效数字)

试题详情

20.如图,矩形裸导线框abcd的长边长度为2L,短边的长度为L.在两短边上均接有电阻R.其余部分电阻不计。导线框一长边与x轴重合,左边的坐标x=0.线框内有一垂直于线框平面的匀强磁场,磁场的磁感应强度为B。一质量为m、电阻也为R的光滑导体棒MN与短边平行且与长边接触良好。开始时导体棒静止于x=0处,从t =0时刻起,导体棒MN在沿x轴正方向的一个拉力作用下,从x=0处匀加速运动到x=2L处。则导体棒MN从x=0处运动到x=2L处的过程中通过导体棒的电量为 

试题详情

19.太阳系中的第二大行星--土星的卫星众多,目前已发现达数十颗。下表是有关土卫五和土卫六两颗卫星的一些参数。则两卫星相比较,下列判断正确的是

卫星
距土星的距离/km
半径/km
质量/kg
发现者
发现日期
土卫五
52700
765
2.49*1021
卡西尼 
1672
土卫六
1222000
2575
1.35*1023
惠更斯
1655

   A.土星对土卫六的万有引力大   B.土卫五的公转周期大

   C.土卫六的公转线速度小        D.土卫五的公转角速度小

试题详情


同步练习册答案