0  342483  342491  342497  342501  342507  342509  342513  342519  342521  342527  342533  342537  342539  342543  342549  342551  342557  342561  342563  342567  342569  342573  342575  342577  342578  342579  342581  342582  342583  342585  342587  342591  342593  342597  342599  342603  342609  342611  342617  342621  342623  342627  342633  342639  342641  342647  342651  342653  342659  342663  342669  342677  447090 

4、我国发射神舟号飞船时,先将飞船发送到一个椭圆轨道上,其近地点M距地面200km,远地点N距地面340km。进入该轨道正常运行时,其周期为T1,通过M、N点时的速率分别是V1,V2。当某次飞船通过N点时,地面指挥部发出指令,点燃飞船上的发动机,使飞船在短时间内加速后进入离地面340km的圆形轨道,开始绕地球做匀速圆周运动,周期为T2,这时飞船的速率为V3。比较飞船在M、N、P三点正常运行时(不包括点火加速阶段)的速率大小和加速度大小,及在两个轨道上运行的周期,下列结论正确的是: 

A.v1>v3       B.v1>v2    C. a2=a3      D.T1> T2

试题详情

3、如图ab所示,是一辆质量为6×103kg的公共汽车在t=0和t=3s末两个时刻的两张照片。当t=0时,汽车刚启动,在这段时间内汽车的运动可看成匀加速直线运动。图c是车内横杆上悬挂的拉手环经放大后的图像,θ=370,根据题中提供的信息,可以估算出的物理量有:

A.汽车的长度                   B.3s内汽车受到的阻力

C.3s内合外力对汽车所做的功         D.3s末汽车牵引力的功率

试题详情

2、在物理学发展的过程中,许多物理学家的科学研究推动了人类文明的进程.在对以下几位物理学家所作科学贡献的叙述中,正确的说法是:

A.英国物理学家牛顿用实验的方法测出万有引力常量G

B.牛顿应用“理想斜面实验”推翻了亚里士多德的“力是维持物体运动的原因”观点

C.胡克认为只有在一定的条件下,弹簧的弹力才与弹簧的形变量成正比

D.亚里士多德认为两个从同一高度自由落下的物体,重物体与轻物体下落一样快

试题详情

1、如图所示,一根轻弹簧竖直固定在水平地面上,在弹簧的正上方有一个物块,物块从高处自由下落到弹簧上端O,将弹簧压缩.弹簧被压缩了x0时,物块的速度变为零。从物块与弹簧接触开始,物块的加速度的大小随下降的位移变化的图象可能是:

试题详情

1.CD  2.A  3. AD  4. C  5. B  6. BCD  7. BCD  8. D  9. C  10. BD

试题详情

10. 如图所示,固定放置在同一水平面内的两根平行长直金属导轨的间距为d,其右端接有阻值为R的电阻,整个装置处在竖直向上磁感应强度大小为B的匀强磁场中. 一质量为m(质量分布均匀)的导体杆ab垂直于导轨放置,且与两导轨保持良好接触,杆与导轨之间的动摩擦因数为μ. 现杆在水平向左、垂直于杆的恒力F作用下从静止开始沿导轨运动距离l时,速度恰好达到最大(运动过程中杆始终与导轨保持垂直). 设杆接入电路的电阻为r,导轨电阻不计,重力加速度大小为g. 则此过程(    )

试题详情

9. 带电粒子(重力不计)以垂直于场的速度进入匀强电场或匀强磁场中时,粒子将发生偏转,这种电场或磁场称为偏转电场或偏转磁场. 下列说法中错误的是(    )

  A. 欲把速度不同的同种带电粒子分开,偏转电场或偏转磁场均可采用

  B. 欲把动能相同的质子和α粒子分开,只能采用偏转电场

  C. 欲把由静止经同一加速电压加速的质子和α粒子分开,偏转电场或偏转磁场均可采用

  D. 欲把初速度相同而比荷不同的带电粒子分开,偏转电场或偏转磁场均可采用

试题详情

8. 如图所示,质量为m的物体A放在倾角为θ的斜面体B上,并在图示的水平恒力F作用下使它们之间刚好不发生相对滑动而向左运动. 已知斜面和水平面均光滑, 那么下列关于这个物理情境的讨论中正确的是(    )

  A. 题目中描述的这种物理情境不可能发生

  B. AB只有向左匀速运动时才能发生这种可能

  C. 斜面体B对物体A不做功是由于它们之间的弹力方向垂直于斜面

  D. AB具有共同加速度时能发生,且恒力F大小为(M+m)gtanθ

试题详情

7. 如图所示,图线a是线圈在匀强磁场中匀速转动时所产生正弦交流电的图象,当调整线圈转速后,所产生的正弦交流电图象如图线b所示. 以下关于这两个正弦交流电的说法正确的是(    )

A. 在图中t=0时刻穿过线圈的磁通量均为零

B. 线圈先后两次转速之比为3∶2

C. 交流电a的瞬时值表示为u=10sin5πt V

  D. 交流电b的有效值为10/3 V

试题详情

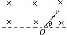
6. 如图所示,在垂直纸面向里的匀强磁场的边界上,有两个质量和电荷量均相同的正、负粒子(不计重力影响), 从O点以相同的速度先后射入磁场中,入射方向与边界成θ角, 则正、负粒子在磁场中(    )

A. 运动时间相同              B. 运动轨迹的半径相同

C. 重新回到边界时速度的大小和方向相同   D. 重新回到边界的位置与O点的距离相等

试题详情


同步练习册答案