0  346545  346553  346559  346563  346569  346571  346575  346581  346583  346589  346595  346599  346601  346605  346611  346613  346619  346623  346625  346629  346631  346635  346637  346639  346640  346641  346643  346644  346645  346647  346649  346653  346655  346659  346661  346665  346671  346673  346679  346683  346685  346689  346695  346701  346703  346709  346713  346715  346721  346725  346731  346739  447090 

17.图示是一透明的圆柱体的横截面,其半径R=20cm,折射率为AB是一条直径,今

有一束平行光沿AB方向射向圆柱体,试求:

①光在圆柱体中的传播速度;

②距离直线AB多远的入射光线,折射后恰经过B点.

试题详情

16.实验题:

用示波器观察频率为900 Hz的正弦电压信号。把该信号接入示波器Y输入。

①当屏幕上出现如图 1 所示的波形时,应调节___________钮。如果正弦波的正负半周均超出了屏幕的范围,应调节______________钮或____________钮,或这两个钮配合使用,以使正弦波的整个波形出现在屏幕内。

②如需要屏幕上正好出现一个完整的正弦波形,应将________钮置于_____________位置,然后调节_________钮。

试题详情

15.某同学由于没有量角器,在完成了光路图以后,以O点为圆心,10.00cm

为半径画圆,分别交线段OAA点,交OO连线的延长线于C点,过

A点作法线MN的垂线ABMNB点,过C点作法线MN’的垂线

CD,交MND点(如图所示),用刻度尺量得OB=8.00cm,CD=4.00cm,

由此可得出玻璃的折射率n=   

试题详情

14.利用一块玻璃砖,以插针法测玻璃的折射率。如图P1、P2、P3、P4

为插针位置。实验后发现玻璃砖的两个面aa′和bb′明显不平行。

那么      (填“平行”或“不平行”);这件事

对测得的折射率     影响(填“有”或“无”)

试题详情

13.如图所示,三棱镜的AC面镀有反射膜,一束白光射向AB面,经棱镜

折射后,在屏幕的ab段形成彩色光带,则a点的颜色是_______,b点

的颜色是_________。

试题详情

12.一个边长为6cm的正方形金属线框置于匀强磁场中,线框

平面与磁场垂直,电阻为0.36Ω。磁感应强度B随时间t的

变化关系如图所示,则线框中感应电流的有效值为(   )

A.×10-5A  B.×10-5A  C.×10-5ª  D.×10-5A

试题详情

11.如图所示,两块水平放置的金属板相距为d,用导线将两极板与一个n匝线圈连接,若线

圈置于竖直向下的变化磁场B中,则两板间一质量为m,带电量为+q的微粒恰能静止,则

线圈中磁场的变化情况和磁通量的变化率△φ/△t,下列说法正确的是    

A.变化的磁场B增大,dmg/nq   

B.变化的磁场B减弱,dmg/nq

C.变化的磁场B减弱,dmg/q   

D.变化的磁场B增大,dmg/q

试题详情

10.如图所示,MN是位于水平平面内的光屏,放在水平面上的半圆柱形玻璃砖的平面部分ab

与屏平行,由光源S发出的一束白光从半圆沿半径射入玻璃砖,通过圆心O再射到屏上,

在竖直平面内以O点为圆心沿逆时针方向缓缓转动玻璃砖,在光屏上出现了彩色光带,当

玻璃砖转动角度大于某一值,屏上彩色光带中的某种颜色的色光首先消失,有关彩色光的

排列顺序和最先消失的色光是(  )

A.左红右紫,红光 

B.左红右紫,紫光

C.左紫右红,红光 

D.左紫右红,紫光

试题详情

9.右图为杨氏双缝干涉实验示意图,其中S1、S2为双缝,D为光屏,

实验中观察到屏上O点为中央亮纹的中心,P1为第一级亮纹的中

心.在其他条件不变的情况下,若将D屏向右平移一段距离,则

   A.屏上O点仍然为中央亮纹的中心

   B.屏上P1位置仍然可能为亮纹的中心

   C.屏上P1位置可能为暗纹的中心

   D.屏上干涉条纹间距将变小

试题详情

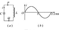
8.在右图所示的LC振荡电路中,通过P点的电流随时间变化的图线如图(b)所示,若把通过

P点向右的电流规定为i轴的正方向,则(     ).

   (A)0至0.5ms内,电容器C正在充电

   (B)0.5ms至1ms内,电容器上极板带正电荷

   (C)1ms至1.5ms内,Q点比P点电势高

   (D)1.5ms至2ms内磁场能在减少

试题详情


同步练习册答案