0  347184  347192  347198  347202  347208  347210  347214  347220  347222  347228  347234  347238  347240  347244  347250  347252  347258  347262  347264  347268  347270  347274  347276  347278  347279  347280  347282  347283  347284  347286  347288  347292  347294  347298  347300  347304  347310  347312  347318  347322  347324  347328  347334  347340  347342  347348  347352  347354  347360  347364  347370  347378  447090 

36. (18分)

(1)       ℃。 

(2)                        

(3)                                     

(4)                                      

(5)       (6)       (7)     

(8)                                      。

(9)                                      

                                        

试题详情

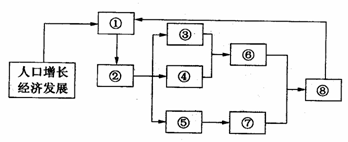
37.根据下图分析回答:(12分)

(1)填出下列地理事物或现象所代表的字母所表示的数码。

A.水利设施、水产资源被破坏  B.扩大耕地面积   C.开垦草场  D.粮食不足

E.水土流失、土地沙化  F.围垦湖海   G.旱涝灾害增加   H.毁林开荒

 ①                                    

(2)该图反映的环境问题是   。产生的原因是        

长沙市一中高一第二学期地理期末考试试卷(答卷)

座位号
 

命题人:熊国勇   审核人:陈杰灵

考试时间:85分钟    分数:100分

试题详情

36.案例分析:读下列材料,回答问题:(共18分)

 

材料一:左图为我国四城市的1月、7月平均气温和年降水量图。       

材料二:北京市昌平区兴寿镇从2001年开始种植草莓,现有草莓温室大棚500栋。通过产业化经营,在种植、采摘、包装环节实行无公害生产及运输,产品销往香港、北京等地,针对不同的消费人群,采取不同的包装和分选,并能在春节期间上市。草莓价格最便宜的也有10元每公斤,最高可买到60元每公斤。

(1)我国哈尔滨的气温年较差约为      ℃。

(2)7月份,我国气温的分布特点是            

(3)气候对农业区位的影响极大。简答黑龙江省(用哈尔滨的气候资料)发展农业生产的有利气候条件。

(4)我国北方冬季从南方大量调进蔬菜。简要分析形成这种现象的气候原因。

(5)昌平区兴寿镇通过温室大棚种植草莓改造的主要自然因素是     

(6)从自然条件考虑,昌平区发展草莓温室大棚最主要的区位优势是     

A.上风上水   B.距市场近   C.平原地形  D.雨热同期

(7)从社会经济因素考虑,该地发展草莓温室大棚最主要的区位优势是    

       A.距市场近  B.国家政策   C.雨热同期   D.平原地形

(8)试从社会经济条件分析,昌平的草莓可远销香港市场的原因。

(9)结合材料,分析昌平区的草莓价格昂贵的原因。

试题详情

35.由于交通运输发展而形成的交通枢纽城市是:

  A.兰州        B.大庆        C.鞍山     D.拉萨

第二卷

试题详情

34.“西气东输”工程中天然气的运输方式是

   A.铁路运输    B.公路运输     C.管道运输     D.内河航运

试题详情

33.机动灵活,周转期短,装卸方便,对各种自然条件适应性强的运输方式是

  A.航空运输    B.公路运输     C.铁路运输     D.内河航运

试题详情

下图表示某制造业区位变化在世界一般发展阶段示意图,判断31-32题:

31.该图反应了 (    )工业的区位变化过程:

A.食品工业  B.化学工业  C.钢铁工业   D.飞机制造

32.导致该企业区位变化的最主要原因是:

A.原料、燃料运输成本   B.环境因素  C.技术因素   D.信息网络的通达度

试题详情

右图为某城镇多年平均风频图。判断29--30题:

29.该城镇可能位于:

A.我国东南沿海    B.印度半岛境内

C.地中海沿岸     D.西欧平原上

30.如果在该城市布局一个火电厂,从环境保护的角度考虑应该布局在该城市的:

A.西北      B.东南   

C.西南      D.东北

试题详情

28.右图①、②、③、④四地中最有可能发育

为城市的是:

A.①      B.②

C.③      D.④

试题详情

27.下面是“有关工厂设施与其所造成的环境污染示意图”,如图所示,下列各组排列顺序正确的是:

A.①造纸厂  ②水泥厂  ③钢铁厂  ④飞机场

B.①造纸厂  ②钢铁厂  ③飞机场  ④水泥厂

C.①钢铁厂  ②水泥厂  ③造纸厂  ④飞机场

D.①水泥厂  ②造纸厂  ③飞机场  ④钢铁厂

试题详情


同步练习册答案