0  347875  347883  347889  347893  347899  347901  347905  347911  347913  347919  347925  347929  347931  347935  347941  347943  347949  347953  347955  347959  347961  347965  347967  347969  347970  347971  347973  347974  347975  347977  347979  347983  347985  347989  347991  347995  348001  348003  348009  348013  348015  348019  348025  348031  348033  348039  348043  348045  348051  348055  348061  348069  447090 

6.已知变量满足,则的最大值是   .

试题详情

5.已知向量,且,则   .

试题详情

4.在矩形中,

边所在直线为轴旋转一周,则形成的几何体的侧面积为   .

试题详情

3.若函数的部分图象如图所示,则的值为    .

试题详情

2.已知函数的定义域为集合,为自然数集,则集合中元素的个数为     .

试题详情

1.若复数(为虚数单位)为纯虚数,则实数     .

试题详情

20.(12分)本题包括A、B两小题,分别对应于“物质结构与性质”和“实验化学”两个选修模块的内容。请选择其中一题作答。若两题都做,则按A题评分。

A.微粒A、B、C为分子,D和F为阳离子,E为阴离子,它们都含有l0个电子;B溶于A后所得的物质可电离出D和E;C是重要的化石能源。将A、B和含F离子的物质混合后可得D和一种白色沉淀。G3+离子与Ar原子的电子层结构相同。请回答:

  (1)基态G原子的外围电子排布式是     。在A、B、C这三种分子中,属于非极

性分子的有           (写化学式)。

  (2)下列有关B的说法中正确的是      。(填字母)

a.在配合物中可作为配体         

b.该分子的稳定性与氢键有关

c.分子中各原子最外层均为8e-的稳定结构  

d.含1 molB的液体中有3mol氢键  

  (3)根据等电子体原理,D离子的空间构型是     ,其中心原子轨道的杂化类型是    

  (4)构成C的中心原子可以形成多种单质,其中有一种为空间网状结构,右图立方体中心的“●”表示该晶体中的一个原子,请在该立方体的顶点上用“●”表示出与之紧邻的原子。

  (5)光谱证实F与烧碱溶液反应有Na[F(OH)4]生成,则Na[F(OH)4]中不存在   。(填字母)  

     a.金属键      b.离子键           c.非极性键         d.极性键 

          f.配位键      g.键            h.键  

B.对氨基苯磺酸是制取某些染料和药物的重要中间体,可由苯胺磺化得到:

       

   实验室可用苯胺、浓硫酸为原料,利用右图所示实验装置合成。

   实验步骤如下:

①取一个250 mL的仪器a,加入10 mL苯胺及几粒沸石,放入冷水中冷却,小心地加入18 mL浓硫酸。再分别装上冷凝管、温度计等。

②将a置于油浴中缓慢加热至l70 -180℃,维持此温度约2.5 h。

③将反应产物冷却至约50℃后,倒入盛有l00 mL冷水的烧杯中,用玻璃棒不断搅拌,促使晶体析出。用该烧杯中的少量冷水将a内残留的产物冲洗到烧杯中,抽滤,用少量冷水洗涤,得到粗产品。

④将粗产品用沸水溶解,冷却结晶(若溶液颜色过深,可用活性炭脱色),抽滤,收集产品,晾干。(提示:100 mL水在20℃时可溶解对氨基苯磺酸1.089,在100℃时可溶解6.67g) 

  (1)仪器a的名称是    。步骤①中加入沸石的作用是            。

  (2)步骤②中采用油浴加热,下列说法正确的是     。(填字母)

     A.便于控制温度                  B.也可以改用水浴加热  

C.温度计的水银球也可浸在油中

  (3)步骤③用冷水洗涤的优点是                     

  (4)步骤③和④均进行了抽滤操作,在抽滤完毕停止抽滤时,应注意先    ,然后   

  (5)步骤④有时需重复进行多次,其目的是               

试题详情

19.(10分)硫酸在生产中有广泛的应用,某厂以硫铁矿为主要原料生产硫酸。

 

  已知:①550℃时,2S02(g)+02(g)       2S03(g)   =一196.6 kJ·mol-1

 ②一定温度下,硫铁矿在空气中煅烧可能发生下列反应(设空气中N2与O2的体积比为4:1):3FeS2+802=Fe304+6S02,4FeS2+1102=2Fe203+8S02

  (1)550℃时,6.4g S02(g)与足量O2(g)充分反应生成S03(g),放出热量     9.83 kJ(填“大于”、“等于”或“小于”)0   、

  (2)欲使反应①的平衡向正反应方向移动,下列措施可行的是    。(填字母)

     a.向平衡混合物中充入Ar         b.向平衡混合物中充入02

     c.改变反应的催化剂            d.降低反应的温度  

  (3)为使FeS2完全生成Fe203,生产时要使用过量的空气,则当空气过量50%时,所得炉气中S02的体积分数是多少?

  (4)720g纯净的FeS2在空气中完全煅烧,所得固体中Fe和O的

物质的量之比(Fe):(O)=6:,此时消耗空气为mol。

     ①试写出的关系式:         

②请在右图中画出的关系曲线。

试题详情

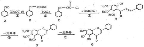
18.(12分)化合物G是中药黄芩中的主要活性成分之一,具有抗氧化和抗肿瘤作用。G的合成路线如下:  

     

请回答下列问题:

  (1)G中含有的含氧官能团的名称有         

  (2)反应③为取代反应,D的结构简式是        ,D分子中含有     种不同化学环境的氢原子。

  (3)同时符合下列a、b、C三个条件的B的同分异构体共有     种。

a. 能发生银镜反应;      

b.屑于苯的衍生物,苯环上共有3个链状取代基;

c.能与FeCl3溶液发生显色反应 

    (4)反应⑤的反应类型是       。在反应①中,反应物的物质的量之比为1:1,反应的化学方程式如下:

若M呈酸性,则其结构简式是             。

  (5)已知        可作为果味香精。请设计合理方案以    、CH3CH20H为原

料合成

(用合成路线流程图表示,并注明反应条件)o

  

②合成过程中无机试剂任选;③合成路线流程图示例如下:

   

试题详情

17.(10分)近年,我国在航天事业上取得了令世界瞩目的成就,神舟飞船多次被长征系列

火箭送入太空。

  (1)长征二号捆绑式火箭推进剂以联氨(N2H4)作为燃料,N204作为推进剂。

①N204的主要作用是助燃,但其在工作时会产生红棕色气体N02,对环境会造成污染,为避免污染可使用下列       (填字母)代替之。

     A.液态氨    B.H202     C.KMn04    D.液态氧 

②在碱性条件下,用尿素[CO(NH2)2]和次氯酸钠反应可以制取联氨(产物中同时有两种正盐),则该反应的离子方程式是               。

  (2)飞船座舱内空气的更新过程如下图所示:  

      

①座舱内空气更新过程可以循环利用的物质为H2、O2     ;装置Ⅱ中发生

反应的化学方程式为                         

②从装置Ⅰ、Ⅱ、Ⅲ可看出O2的来源,若宇航员每天消耗35 mol02,每天呼出的气

体中含18 mol H20,则呼出的气体中含C02      mol。

试题详情


同步练习册答案