0  349441  349449  349455  349459  349465  349467  349471  349477  349479  349485  349491  349495  349497  349501  349507  349509  349515  349519  349521  349525  349527  349531  349533  349535  349536  349537  349539  349540  349541  349543  349545  349549  349551  349555  349557  349561  349567  349569  349575  349579  349581  349585  349591  349597  349599  349605  349609  349611  349617  349621  349627  349635  447090 

4.关于图示地区地理特征的叙述,最确切的是

A.图中火山喷发形成沉积岩

B.图中河流既参与海陆间水循环也参与内陆循环

C.⑤山自山麓到山顶依次出现热带雨林到积雪冰川带

D.图中河流上游聚落应选择在地势较高的山坡上,以免受到洪水威胁

右图为某国某农场一年中工作历,请根据图中资料回答5-6题

试题详情

3.据上图判断,下列叙述正确的是

A.①为流水搬运和沉积作用形成的冲积扇

B.③处可能有丰富的石油、天然气资源

C.⑤为冰川搬运和堆积作用形成的山峰

D.④为岩块断裂上升形成的山地,②为背斜成山

试题详情

2.海地地震发生时,下列叙述正确的是

A.可用GPS获取震后的灾区影像资料

B.地震发生时,北印度洋洋流顺时针流动

C.巴西高原草木茂盛

D.地球公转到远日点附近

读 “某地地貌和地质剖面示意图”。回答3-4题。

试题详情

1.海地地震发生时,全球旧的一天范围是新的一天的

A.1倍多    B.2倍多      C.3倍多    D.4倍多

试题详情

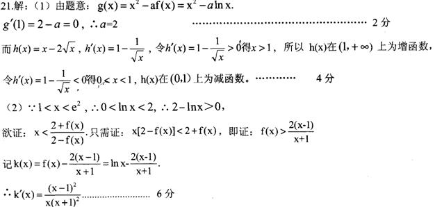
22.(本小题满分14分)

定义在上的三个函数f(x)g(x)h(x),已知f(x)=

   ,且处取得极值.

(1)求的值及的单调区间;

(2)求证:当

   (3)把对应的曲线向上平移6个单位后得到曲线,求对应曲线的交点的个数,并说明道理.

试题详情

21.(I)解:因为椭圆一个顶点为(0,),设椭圆的

方程为

直线过原点,且<·>=,所以直线的方程为,或

 又|-| = ||.

所以|| = ||.设||=m

又∠co F2=,所以C点坐标(m, m)

带入椭圆的方程为

(m)2+(m)2=1   ①

A2-2=m2   ②

解①②

 故椭圆的方程为  ③

(II)解:设M(),N().

当直线p不垂直轴时,直线代入③,整理得

 

点O到直线MN的距离,cot∠MON≠0,

   

     

    即

    整理得

    当直线p垂直x轴时,也满足.

    故直线p的方程为

    或

    经检验上述直线均满足.

所以所求直线p方程为

试题详情

21.(本小题满分12分改编)

椭圆的中心在原点,焦点F1、F2在x轴,一个顶点为(0,),过原点O的直线l和椭圆交于B,C.且<·>=,|-| = ||.

(Ⅰ)求椭圆C的方程;

(Ⅱ)是否存在过点E(-2,0)的直线p交椭圆于点M、N,∠MON=θ(O为原点),使(·)tanθ=.若存在,求直线p的方程;

若不存在,请说明理由.  

试题详情

20. (本小题满分12分)

已知数列的前项和为且满足

(I)           证明:{an-}为等比数列,并求数列的通项公式;

(II)          设为数列的前项和,证明:

试题详情

19.解:(Ⅰ)∵点分别是的中点,

.     …… 2分

∴ ∠.

 ∴                          

,

⊥平面.       …… 4分

平面,

.                   …… 6分

(Ⅱ)建立如图所示的空间直角坐标系

(-1,0,0),(-2,1,0),

(0,0,1).∴=(-1,1,0),

=(1,0,1),     ……8分

设平面的法向量为,则

 ……10分

,得

.

显然,是平面的一个法向量=().    

∴  cos<>=. 

∴ 二面角的余弦值是.     ………………12分

试题详情

19. (本小题满分12分)

已知等腰直角三角形,其中∠=90º,  .点分别是的中点,现将△沿着边折起到△位置,使,连结

(Ⅰ)求证:

(Ⅱ)求二面角的余弦值.

试题详情


同步练习册答案