0  354342  354350  354356  354360  354366  354368  354372  354378  354380  354386  354392  354396  354398  354402  354408  354410  354416  354420  354422  354426  354428  354432  354434  354436  354437  354438  354440  354441  354442  354444  354446  354450  354452  354456  354458  354462  354468  354470  354476  354480  354482  354486  354492  354498  354500  354506  354510  354512  354518  354522  354528  354536  447090 

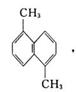
6.已知分子式为C12H12的物质A的结构简式为         A 苯环上的二溴代

物有九种同分异构体,由此推断A苯环上的四溴代物的异构体的数目有

A.9种       B.10种      C.11种      D.12种 

试题详情

5.以乙烯和丙烯混合物为单体,发生加聚反应,不可能得到的是

A.  CH2-CH2            B.  CH2-CH2-CH2-CH2-CH2

 

C.  CH2-CH-CH2-CH2             D.  CH2-CH2-CH2-CH

 

试题详情

4.某混合气体由两种气态烃组成,取2.24升该混合气体,完全燃烧得到4.48升二氧化碳和3.6克水(气体体积均在标准状况下测定),则这种混合气体组成可能是

A.C3H4和CH4                B.C2H4和C3H4  

C.C2H4和C2H6                             D.C2H2和C3H6

试题详情

3.按系统命名法CH3CH2C(CH3)2CH(CH3)2的正确命名是

A.3,3-二甲基异戊烷          B.1,1,2,2-甲基丁烷

C.2,3,3-三甲基戊烷          D.2,3,3-三甲基丁烷

试题详情

2.石油裂化的主要目的是为了

A.提高轻质液体燃料的产量           B.便于分馏

C.获得短链不饱和气态烃            D.提高汽油的质量

试题详情

1.2008年北京奥运会的“祥云”火炬所用燃料的主要成分是丙烷,下列有关丙烷的叙述中不正确的是

A.分子中碳-碳原子间是非极性共价键      B.光照下能够发生取代反应

C.比丁烷更易液化              D.是石油分馏的一种产物

试题详情

第二节:书面表达(满分25分)

请根据下面的图表以及中文提示所提供的信息,写一篇报道,简要描述我国近年私人轿车的增长情况以及可能会带来的影响:

●出行方便快捷

●有助于汽车工业发展

●污染空气

●交通事故增多

试题详情

第一节:短文改错(共10小题;每小题1分,满分10分)

   My class makes a visit to one of the old people’s homes in our city. When we got there, and we entertained them songs, dances and a drama. We also provided them with a good lunch. Spend some time with the elderly people made  us really happily. We began to understand the senior citizens better. At the same time, they realized that old people need love or affection. It may appear that the elderly people is happy and peaceful there, but deep in their hearts they are sad about be ignored by their own children. I think it is our duty to take care our parents and the elders.

试题详情


同步练习册答案