0  354839  354847  354853  354857  354863  354865  354869  354875  354877  354883  354889  354893  354895  354899  354905  354907  354913  354917  354919  354923  354925  354929  354931  354933  354934  354935  354937  354938  354939  354941  354943  354947  354949  354953  354955  354959  354965  354967  354973  354977  354979  354983  354989  354995  354997  355003  355007  355009  355015  355019  355025  355033  447090 

19、(本小题满分14分)

如图:某污水处理厂要在一个矩形污水处理池的池底水平铺设污水净化管道是直角顶点)来处理污水,管道越长,污水净化效果越好.设计要求管道的接口的中点,分别落在线段上.已知米,米,记.

(1)试将污水净化管道的长度表示为的函数,并写出定义域;

(2)若,求此时管道的长度

(3)问:当取何值时,污水净化效果最好?并求出此时

管道的长度.

答案1、解:(1)  …………2分

 ……………………………………………………4分

由于

…………………………………………………5分

 , .……………………………6分

(2) 时,,………………………………………7分

;……………………………………………………………………8分

(3)=       

  则……………………………………10分

由于,所以 …12分

内单调递减,于是当时         

的最大值米. ………………………………………………………13分

答:当时所铺设的管道最短,为米.………………14分

试题详情

18、(本小题满分14分)

设平面内有四个向量,且满足=-=2-, ||=||=1

(1)求||,||;

(2)若的夹角为,求cos.

解:(1)

……4分
 
解得:

……5分
 

……8分
 

……10分
 
(2)由

……12分
 

……14分
 

试题详情

17、(本小题满分14分)

已知函数+1,求:

(1)求函数的单调减区间;

(2)求函数的最大值,以及函数取得最大值时自变量的集合

解:(1)将函数化简+1=

……6分
 
            ==

……7分
 
时,即

……9分
 
函数的单调减区间为

……11分
 
(2)当=1时,函数取得最大值为

此时=

……12分
 

……14分
 
故函数取得最大值时的自变量集合为

试题详情

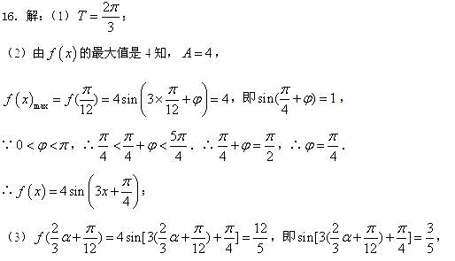
16、(本小题满分12分)

已知函数时取得最大值4。

(1)求的最小正周期;

(2)求的解析式;

……3分
 
(3)若,求

……12分
 
……4分
 
……8分
 

试题详情

15、(本小题满分12分)已知,且

(1)求的值

(2)求的值

解:(1)由,得,又……6分

(2)==……12分

试题详情

14、已知函数的值域为__________

试题详情

13.给出下列命题:

①存在实数,使

②函数+1的一个对称中心为

是函数的一条对称轴方程

④若是第一象限的角,且,则

其中正确命题的序号是__________③___________

试题详情

12、如图所示,程序框图(算法流程图)的输出值____12____。

试题详情

11、以点(2,)为圆心且与直线相切的圆的方程是

试题详情

10.已知,,,其中O为原点,则夹角的范围为                        (  D  )

A.    B.     C.    D .

第Ⅱ卷(非选择题  共80分)

试题详情


同步练习册答案