0  354920  354928  354934  354938  354944  354946  354950  354956  354958  354964  354970  354974  354976  354980  354986  354988  354994  354998  355000  355004  355006  355010  355012  355014  355015  355016  355018  355019  355020  355022  355024  355028  355030  355034  355036  355040  355046  355048  355054  355058  355060  355064  355070  355076  355078  355084  355088  355090  355096  355100  355106  355114  447090 

15.(13分)解:

(1) 设月球的质量为M,对月球表面上质量为的物体

有    (3分)  得     (1分)

(2) 设飞船的质量为m对于圆形轨道I的飞船运动

有   (3分)

解得飞船在轨道I运动的速率为      (1分)

(3) 设飞船在轨道III绕月球运行一周所需的时间为T

   有  (3分)  解得  (2分)

试题详情

14.(16分)解:从图像可知:F1= 440N,F2=mg= 400N,F3= 320N。

(1)0-4s内,F1>mg,电梯加速上升,有    (2分)上升高度  (2分)

评分说明:结果错、单位错(漏)均扣1分。

试题详情

13.(12分)解:(1)摩托车从A点开始做平抛运动,临界点即恰在 B 点着地,有

水平方向上   (2分)    竖直方向上   (2分)

得车过A点的最小速度 (3分)

(2)摩托车从静止开始匀加速启动有             (3分)

得匀加速启动的最小加速度     (2分)

评分说明:结果错、单位错(漏)均扣1分。未开方的不扣分。

试题详情

12.(12分)解:

(1)从A到B机械能守恒有   (3分)  得(2分)

(2)铁块受摩擦力   (2分)

从B到C用动能定理有  (3分)  得   (2分)

试题详情

11.(7分)解:匀速圆周运动的线速度  (4分)

匀速圆周运动的角速度   (3分)

评分说明:要求带入数值计算,结果错、单位错(漏)均扣1分。

试题详情

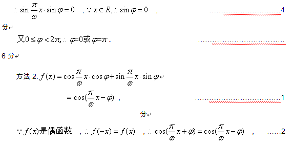
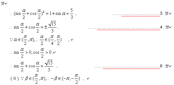
22.(本小题满分13分)

解: (Ⅰ)方法1:

,  ………………………………………………1分

 ,

, ……………………………………………………………2分

 ,

 ,

.            ………………………………4分       ;           ………………………………6分(Ⅱ)

可知;          …………………………7分

 

 ,        …………………………9分

  , .    …………………………11分

 

 

.      ……13分

试题详情

21.(本小题满分13分)

解:(Ⅰ)四边形为平行四边形,

.                ……………………………2分

,∴

依题意非零且不共线,∴.          ………………………4分

(Ⅱ)设.

 即 

                    …………………6分

   又

  .         ……………………………………………………………11分

  ,则.

     

 

.    ………………………………………………………13分

试题详情

20.(本小题满分12分)

解:(Ⅰ) .             ……………1 .………………………………………………………8分

 .          …………………………9分

 .      …………………………………10分

      .    ………………………………

12分

试题详情

19.(本小题满分12分)

解:四边形ABCD为正方形.                   ……………… 1分

证明:由 ,               ……………… 3分

 ,              ……………………… 5分

 , 

ABDC, AB=DC.

ABCD是平行四边形 .                 ……………………… 7分

,              ……………………… 8分

=3×(-1)+1×3=0,                  ……………… 10分               

ABAD.

又 ||=,||=AB=AD .

∴平行四边形ABCD是正方形.               ……………………  12分

试题详情

18. (本小题满分12分)

解: (Ⅰ)

     

     

       ,            …………………………3分

   .                      ………………………4分

 ,

试题详情


同步练习册答案