0  358318  358326  358332  358336  358342  358344  358348  358354  358356  358362  358368  358372  358374  358378  358384  358386  358392  358396  358398  358402  358404  358408  358410  358412  358413  358414  358416  358417  358418  358420  358422  358426  358428  358432  358434  358438  358444  358446  358452  358456  358458  358462  358468  358474  358476  358482  358486  358488  358494  358498  358504  358512  447090 

从A、B、C和D四个选项中,选出可以填入空白处的最佳选项。

1.______ the traffic jam, he didn’t catch his plane, which was reported to have crashed soon after it took off.

A. Because of       B. On account of   C. Due to         D. Thanks to

试题详情

. 

故当r=时,Smax=, 

试题详情

6.设a<0,角α的终边经过点P(-3a,4a),那么sinα+2cosα的值等于(   ) 

A.       B.-     C.        D.-

试题详情

5.已知下列各角(1)787°,(2)-957°,(3)-289°,(4)1711°,其中在第一象限的角是(   ) 

A.(1)、(2)           B.(2)、(3)

C.(1)、(3)           D.(2)、(4) 

试题详情

. 

故当r=时,Smax=, 

高一数学第二次月考试题

试题详情

17.(本小题满分12分)

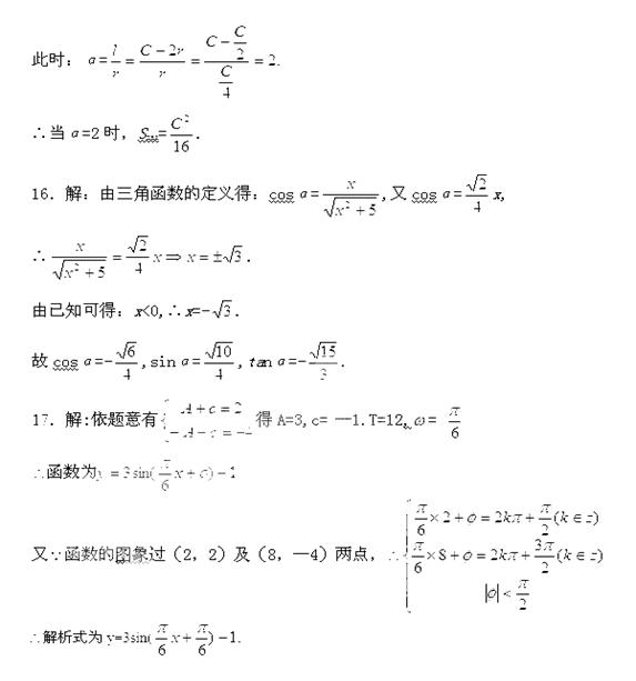
已知:函数y=Asin(x+)+c(A>0, >0,< )在同一周期中最高点坐标为(2,2),最低点的坐标为(8,-4),求函数解析式.

高一数学第二次月考答案

试题详情

16.(本小题满分12分) 

设90°<α<180°,角α的终边上一点为P(x,),且cosα=x,

求sinα与tanα的值. 

试题详情

15.(本小题满分10分) 

设一扇形的周长为C(C>0),当扇形中心角为多大时,它有最大面积?最大面积是多少? 

试题详情

14.若θ满足cosθ>-,则角θ的取值集合是______. 

试题详情

13.若扇形的中心角为,则扇形的内切圆的面积与扇形面积之比为______. 

试题详情


同步练习册答案