0  360303  360311  360317  360321  360327  360329  360333  360339  360341  360347  360353  360357  360359  360363  360369  360371  360377  360381  360383  360387  360389  360393  360395  360397  360398  360399  360401  360402  360403  360405  360407  360411  360413  360417  360419  360423  360429  360431  360437  360441  360443  360447  360453  360459  360461  360467  360471  360473  360479  360483  360489  360497  447090 

26.“Do you have a computer?”  “Yes, I have      .”

    A.it             B.this           C.that            D.one

试题详情

Section A

Directions: Beneath each of the following sentences there are four choices marked A, B, C and D. Choose the one answer that best completes the sentence.

25.The train leaves at 6:00 p.m. So I have to be at the station    5:40 p. m. at the latest.

    A.by            B.after          C.until           D.around

试题详情

Part A Short Conversations (1×10)

Direction: In part A, you will hear ten short conversations between two speakers. At the end of each conversation, a question will be asked about what was said. Each conversation and question will be spoken only one. After you hear a conversation and the question about it, read the four possible answers and decide which one is the best answer to the question you have heard.

1.A.$1.50.          B.$2.           C.$3.            D.$ 4.50.

2.A.Nurse.          B.Librarian.       C.Teacher.        D.Doctor.

3.A.In a teahouse.     B.In a school.     C.In a grocery.     D.In a garage.

4.A.Under the tree.    B.Near the water.  C.On the sand.     D.On the grass.

5.A.Take a long walk.                 B.Take a good rest.

    C.Read a love story.                D.Catch up with her work.

6.A.The weather was bad.              B.It was neither too cold nor too hot.

    C.It didn’t rain.                    D.It was warm enough to go swimming.

7.A.A nice hairstyle.                   B.Marvin and Joan’s wedding.

    C.An old photo.                   D.An opening ceremony.

8.A.She won the first prize.             B.She was glad to hear the news.

    C.She did not attend the contest.       D.She had to help another Mary.

9.A.Take a different train.               B.Go shopping at the new store.

    C.Find a new repair shop.            D.Buy a different car.

10.A.The climate is not good.            B.The climate is mild.

    C.She will rearrange the garden.        D.She will move to a different place.

Part B Passages (2×6)

Direction: In part B, you will hear two short passages, and you will be asked three questions on each of the passages. The passages will be read twice but the questions will be spoken only once. When you hear a question, read the four possible answers in your paper and decide which one would be the best answer to the question you have heard.

Questions 11 through 13 are based on the following passage.

11.                 A.A strong body is more useful than a strong mind.

    B.A strong mind is more useful than a strong body.

    C.A strong mind can make a strong body most useful.

    D.A strong body can make a strong mind most useful.

12.A.A group of parts working together in a regular relation.

    B.An ordered set of ideas, methods or ways of working.

    C.A plan which is ordered by some theories.

    D.The body with its usual ways of working.

13.A.You are no use for your country if you have a strong mind only.

    B.The indoor games with plenty of movements are not better than those played out of doors.

    C.Out of doors the air is not always fresh and pure.

    D.Your mind is of the same importance as your body.

Questions 14 through 16 are based on the following passages.

14.A.To inform parents and schools.       B.To pick out good students.

    C.To compare teachers.              D.To expose poor schools.

15.A.They have no trust in doctors.       B.They cannot afford the medical fee.

    C.They fear things like injections.       D.They doubt the medical treatment.

16.A.Teachers’ difficult life.             B.Harm of divorce to families.

    C.Ways to become loveable kids.       D.Kids’ attention – seeking behavior.

Part C Longer Conversations (1×8)

Direction: In Part C, you will hear two longer conversations. Each conversation will be read twice. After each conversation, you are required to fulfill the task by filling in the numbered blanks with the information you have heard.

Blanks 17 through 20 are based on the following conversation.

Enya Is Ill
Mr. Smith cannot come to see Enya this morning because he has an important
   17   .
Mr. Smith will come to see Enya   18  .
Mr. Smith sent Enya some lovely   19   last time.
Enya will go to work in about   20   days.

Complete the form. Write One WORD for each answer.

Blanks 21 through 24 are based on the following conversation.

A Reward
Mike got a reward.
He looked after the   21   of Mr. Jones’ for   22  .
The dogs gave him a   23  . Mike was   24   dogs.

Complete the form. Write NO MORE THAN THREE WORDS for each answer.

试题详情

(四)过程最常用的化学药剂是          

  (4)(五)过程产生的抗倒伏抗锈病植株中的纯合体占         ,如果让(五)中的ddT_个体再自交一次,则其后代中符合生产要求的能稳定遗传的个体占  

  (5)如将方法Ⅰ中获得的(3)(5)植株杂交,再让所得到的后代自交,则后代基因型比例为                          

41.(10分)某植物的两对遗传性状分别是:高茎(R)对矮茎(r)显性,红花(E)对白花(e)显性,现有高茎红花品种自交,后代中出现四种类型,其比例为高茎红花:高茎白花:矮茎红花:矮茎白花=54:21:21:4。请分析并回答:

  (1)高茎与矮茎之间,高茎与红花或白花之间,在遗传中分别符合       规律和       规律。

  (2)写出亲本基因型在染色体上的位置         。求两对基因之间的交换值是       %。亲本产生RE、Re、rE、re四种配子的比例依次为    

  (3)在高茎白花类型中,纯合体占      ,其基因型是      。若要获得36株纯种高茎白花植株,至少自交后代      株。

  (4)若在另一对同源染色体上还有一对控制种子形状的基因,圆粒(D)和皱粒(d),则基因型为RrEeDd的个体产生了一个RED的卵细胞,那么同时产生的第二极体的基因型为                  。(2分)

试题详情

33.(3分)显微测微尺是测量微小生物体或结构的有效工具。经标定安装于10x目镜中的目镜;测微尺在低倍镜(10x)视野中的每小格长度为7um,在高倍镜(40x)视野中每小格长度为1.75um。如果在10x目镜和10x物镜构成的视野中,一个酵母细胞在目镜测微尺的测量下,测得其细胞长度是5格,则该细胞的具体长度值是     um;如果目镜不变物镜换成40x,则酵母菌在目镜测微尺上的长度是      格。(2分)

34.(6分)有机化合物中具有不同的化学基团,

它们对水的亲和力不同。易与水结合的基

团称为亲水基团(如-NH2、一COOH、

一OH)具有大量亲水基团的一些蛋白质、

淀粉等分子易溶于水;难与水结合的基团

称为疏水基团,如脂类分子中的碳氢链。

脂类分子往往有很长的碳氢链,难溶于水

而聚集在一起。请回答:

  (1)等量亲水性不同的两种物质分散在甲、乙两个含有等量水的容器中,如上图所示。比较两容器中的自由水含量,乙比甲       

  (2)相同质量的花生种子(含油脂多)和大豆种子(含蛋白质多),当它们总含水量相同时,自由水含量较多的是     种子。

  (3)以占种子干重的百分比计算,种子萌发时干燥大豆种子吸水量比干燥花生种子吸水量       

  (4)花生种子含油脂较多,那么脂质除了脂肪还有               

其中       可以转变成肾上腺皮质激素。

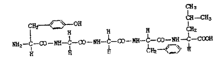
35.(11分)我国合成了一种具有镇痛作用而又不会像吗啡那样使病人上瘾的药物一一脑啡肽,它的结构简式如下。请根据此化合物的结构分析回答:

20090918
 
20090918
 
 

  (1)该化合物有      个氨基和         个羧基。该化合物叫   肽。

  (2)该化合物完全水解可形成     种氨基酸,不同种类氨基酸间的差异主要体现在    不同。该化合物水解后,上图中排在最右侧的氨基酸含有的氢原子数是

    个。

  (3)若某蛋白质由m条肽链、n个氨基酸组成。该蛋白质至少有氧原子的个数是   

(2分)

  (4)某条多肽的相对分子质量为2778,若氨基酸的平均相对分子质量为110,如考虑终止密码子,则编码该多肽的基因长度至少是    对碱基(2分)

  (5)脑啡肽的合成是采用了蛋白质工程技术,这是生物学发展在    水平上的又一突破。

36.(14分)下图表示细胞和生物膜结构模式图,甲图中A、B、C、D、E、F表示某些物质a、b、c、d表示物质进出膜的运输方式,乙、丙图中序号表示细胞的某些结构。请据图回答:([   ]内填字母或序号,横线上填文字)

  (1)若甲图中的膜示乙图中的紧贴着结构5的膜,则膜上较细胞内其他膜结构含量多的物质是[   ]       

  (2)乙图所示细胞进行生命活动所需的能量主要是由[   ]        供给,该结构的主要功能是进行       ,该生理功能消耗的主要能源物质是     。完成上述生理过程所需的酶是由[   ]        合成的。所释放的二氧化碳在充足的光照条件下将扩散到[   ]处被利用。

  (3)乙图中[5]的主要成分是      ,与其形成有关的细胞器是[   ]      ;在细胞长大过程中会逐渐增大,并对细胞的吸水具有重要作用的是      ;乙图细胞内具有双层膜结构的除[1]、[6]外,还有      也是双层膜结构。

  (4)能观测到图乙中各结构的显微镜是     显微镜。从结构上看,引起甲型H1N1流感的微生物与图乙最大的不同在于前者           

  (5)图丙中在有丝分裂间期数量会增加一倍;在分裂前期移向两极的结构指[   ]  

    。在细胞有丝分裂过程中,会周期性地重建和消失的是[   ]      

37.(10分)回答下面有关哺乳动物细胞培养的问题。

  (1)培养中的细胞其数目的增加和培养时间的关系如图1。据图读出该细胞完成一个细胞周期所需要的时间(T)是      小时。

  (2)从图1的A点取出6000个细胞,测定每个细胞的DNA含量,结果如图2。图2的B、C、D中,表示处于S期的是     ,表示处于G2和M期的是    ,表示处于G1期的是     。若处在各个时期的细胞比例仍如图2所示不变,取样的细胞总数改为10000个,则处于S期的细胞数是     个,当处于G2期细胞的数目是1700个,处于M期的细胞数是     个。(2分)

  (3)细胞周期中,完成各期所需时间的计算公式是t=T×(n/N)(N是取样的总细胞数,n是各期的细胞数),则该细胞完成分裂期的时间是      小时。完成间期的时间是       小时。(2分)

38.(13分)下图1为某夫妇含有AaBb两对等位基因的一个体细胞示意图,图2为某细胞分裂过程中DNA含量变化曲线图,图3为该妇女在一次生殖过程中生出男孩1和女孩2的示意图,请根据图回答下列问题:

 

  (1)基因A与a、B与b分离;A与B(或b),a与B(或b)随机组合发生在图2中

           时期。基因A与A、a与a、B与B、b与b的分离发生在图2中 

           时期。

  (2)这对夫妇中的妻子的某个细胞处在图2的F时期时,其中染色体与DNA的数目分别是       条和      条。这对夫妇中的丈夫的某个细胞处在图2的B时期时,其中染色体与DNA的数目分别是       条和       条。

  (3)图3中过程X是       ,过程Y的细胞分裂方式是       ,此方式与图2所示分裂方式相比较,本质的区别是此方式产生的子细胞中染色体            

  (4)该夫妇在此次生殖过程中,至少形成了     个受精卵。若胚胎1的染色体组成为44+XX,则胚胎2染色体组成为      ,若不考虑变异,则胚胎2中的X染色体与胚胎1中来自母亲的一条X染色体的遗传信息完全相同概率是       。(2分)

39.(13分)在一个远离大陆且交通不便的海岛上,居民中有60%为甲种遗传病(基因为A、a)致病基因携带者。岛上某家族系谱中,除患甲病外,还患有乙病(基因为B、b),两种病中有一种为血友病,请据图回答问题:

  (1)    病为血友病,另一种遗传病的致病基因在      染色体上,为    遗传病。

  (2)Ⅲ13在形成配子时,在相关的基因传递中,遵循的遗传规律是:       

  (3)若Ⅲ11与该岛一个表现型正常的女子结婚,则其孩子中患甲病的概率为    

  (4)Ⅱ6的基因型为       ,Ⅲ13的基因型为      

  (5)我国婚姻法禁止近亲结婚,若Ⅲ11与Ⅲ13婚配,则其孩子中只患甲病的概率为 

       (2分);只患一种病的概率为     (2分);同时患有两种病的男孩的概率为      。(2分)

40.(10分)现有两个纯种小麦,一个纯种小麦性状是高杆(D),抗锈病(T);另一个纯种

小麦的性状是矮秆(d),易染锈病(t)(两对基因独立遗传),育种专家提出了如图Ⅰ、

  Ⅱ两种育种方法以获得小麦新品种。问:

  (1)要缩短育种年限,应选择的方法是      ,方法Ⅱ依据的变异原理是    

  (2)图中(1)和(4)的基因组成分别为                

  (3)(二)过程中,D与d的分离发生在       ,(三)过程采用的方法称为   

试题详情

32.基因型分别为ddEeFF和DdEeff的两种豌豆杂交,在三对等位基因各自独立遗传的条件下,其子代表现型不同于两个亲本的个体数占全部子代的                             (   )

    A.1/4           B.3/4            C.3/8           D.5/8

第二卷  简答题(90分)

试题详情

31.某双链的DNA分子中,G点35%,其中的一条单链中T点5%,那么另一条单链中T占的比例是多少                            (   )

    A.5%           B.25%           C.30%          D.35%

试题详情

28.人的黑发对金黄色发为显性,由位于常染色体上的一对基因控制,一对夫妇全为杂合体黑发,他们的两个孩子中,符合一个为黑发,另一个为金黄色发的概率为               (   )

    A.1/16           B.3/16           C.6/16           D.9/16

三分题(共4题)

  29.下图a→b表示连续分裂细胞的两个细胞周期。下列叙述不正确的是         (   )

    A.a和b为一个细胞周期             B.c段结束DNA含量增加一倍

    C.遗传物质平分一般发生在d段       D.b和c为一个细胞周期

  30.下图是某生物的精细胞,据图判断来自同一个次级精母细胞的是           (   )

    A.①②          B.②④          C.③⑤          D.①④

试题详情

27.人类的正常血红蛋白的链第63位氨基酸为组氨酸(密码子CAU),异常血红蛋白的 链第63位氨基酸为酪氨酸(密码子UAU),这种变异的原因在于基因中 (   )

    A.某碱基对发生改变               B.CAU变成了UAU

    C.缺失一个碱基对                 D.增添一个碱基对

试题详情

26.已知DNA分子的一条有义链是:ATCCGTTCA,在合成蛋白质过程中,需要的相应tRNA可能是                            (   )

    A.AUC、CGU、UCA                B.ATC、CGT、TCA

    C.UAG、GCA、AGU               D.TAC、GCA、AGT

试题详情


同步练习册答案