0  362215  362223  362229  362233  362239  362241  362245  362251  362253  362259  362265  362269  362271  362275  362281  362283  362289  362293  362295  362299  362301  362305  362307  362309  362310  362311  362313  362314  362315  362317  362319  362323  362325  362329  362331  362335  362341  362343  362349  362353  362355  362359  362365  362371  362373  362379  362383  362385  362391  362395  362401  362409  447090 

6.设有一个直线回归方程为,则变量增加一个单位时(   )

A.平均增加个单位            B.平均增加个单位

C.平均减少个单位            D.平均减少个单位

试题详情

5.下列对一组数据的分析,不正确的说法是   (   )

A、数据极差越小,样本数据分布越集中、稳定

B、数据平均数越小,样本数据分布越集中、稳定

C、数据标准差越小,样本数据分布越集中、稳定

D、数据方差越小,样本数据分布越集中、稳定

试题详情

4.某初级中学有学生人,其中一年级人,二、三年级各人,现要利用抽样方法取人参加某项调查,考虑选用简单随机抽样、分层抽样和系统抽样三种方案,使用简单随机抽样和分层抽样时,将学生按一、二、三年级依次统一编号为;使用系统抽样时,

将学生统一随机编号,并将整个编号依次分为段.如果抽得号码有下列四种情况:

   ①7,34,61,88,115,142,169,196,223,250;

   ②5,9,100,107,111,121,180,195,200,265;

   ③11,38,65,92, 119,146,173,200,227,254;

   ④30,57,84,111,138,165,192,219,246,270;

   关于上述样本的下列结论中,正确的是(   )             

   A.②、③都不能为系统抽样      B.②、④都不能为分层抽样

   C.①、④都可能为系统抽样       D.①、③都可能为分层抽样

试题详情

3.如右图,是某算法流程图的一部分,其算法的逻辑结构为     (   )

 A. 顺序结构   B. 判断结构  

C. 条件结构   D. 循环结构

试题详情

2.把98化成五进制数的末位数字为             (   )

  A  1   B  2   C  3   D  4

试题详情

1.下列给出的赋值语句中正确的是:(   )

A、5=A     B、M=-M      C、B=A=2      D、x+y=0

试题详情

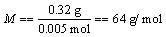
31. (1) 该盐晶体的物质的量为=   =0.005 mol 

   由 M-x e=Mx+x=2 

(2),故原子量为64,即Cu. n=3 

试题详情

1
2
3
4
5
6
7
8
9
10
11
12
B
C
C
C
A
B
D
D
C
B
B
A
13
14
15
16
17
18
19
20
21
22
23
24
D
A
D
B
A
C
A
C
B
C
D
D

试题详情

31.(4分)

三明一中2010~2011学年度上学期第一次月考试卷

试题详情

30.(4分)

试题详情


同步练习册答案