0  362964  362972  362978  362982  362988  362990  362994  363000  363002  363008  363014  363018  363020  363024  363030  363032  363038  363042  363044  363048  363050  363054  363056  363058  363059  363060  363062  363063  363064  363066  363068  363072  363074  363078  363080  363084  363090  363092  363098  363102  363104  363108  363114  363120  363122  363128  363132  363134  363140  363144  363150  363158  447090 

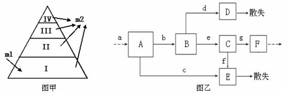
29.(10分)下图甲为某湖泊生态系统的能量金字塔简图,其中I、Ⅱ、Ⅲ、Ⅳ分别代表不同的营养级,m1、m2代表不同的能量形式。图乙表示能量流经该生态系统某一营养级的变化示意图,其中a-g表示能量值的多少。请据图作答:

  (1)图甲中,m1、m2表示的能量形式分别为               。通常情况下,位于营养级Ⅳ的生物个体数量一般远远少于Ⅲ,主要原因是   

  (2)图乙中,若A表示图1中营养级II所摄入的全部能量,则B表示       ,C表示        。若图甲中营养级I所固定的太阳能总量为y,由营养级I、Ⅱ间的能量传递效率是      (用图中所给字母的表达式表示)。

  (3)由图乙可以总结出生态系统能量流动的主要特点是          

  (4)若图甲中营养级Ⅰ、Ⅱ、Ⅲ各有一种生物甲、乙、

丙,构成食物关系如右下图。其中,甲能量中比

例为x的部分直接提供给丙,则要使丙能量增加

AkJ,至少需要消耗甲的能量       kJ(用

所给字母的表达式表示)。

试题详情

28.(10分)图甲为某草原生态系统的结构简图,“→”表示碳的流动方向。图乙为某植食性昆虫迁入该生态系统后的种群数量增长率变化曲线。(给坐标画上)

   ⑴图甲中各种组成成分,通过              紧密联系,形成一个统一的整体。甲图中代表生产者、消费者、分解者的字母依次是            

   ⑵草原生态系统与森林生态系统相比,后者抵抗力稳定性较强。原因是          。

   ⑶若甲图中捕食者依据被捕食者的气味捕猎,则捕食者感受这种气味的细胞中发生的信号变化是        ,这说明信息传递在生态系统中的作用是________________________。

   ⑷根据图乙,在丙图中画出植食性昆虫在t0-t2时间段的数量变化曲线图。

   ⑸若生产者在相当于乙图中的t1时固定的太阳能为400KJ,则该生态系统中次级消费者最多可得到能量     KJ。根据环境容纳量的概念,请对草原的合理放牧提出建议:

  _______________________________________________________________  

试题详情

27.(10分)下图甲为北极冻原生态系统中部分生物构成的食物网。图乙虚线方框内表示一个生态系统,箭头表示该生态系统能量流动的一般性模型。请据图回答:

   ⑴图甲中雪兔和狼之间的关系称为        

   ⑵与森林生态系统相比,冻原生态系统抵抗力稳定性要低,因为冻原生态系统   

   ⑶假如北极狐的食物1/2来自雷鸟,1/8来自植物,且该系统能量从生产者到消费者的传递效率为10%,从消费者到消费者的能量传递效率为20%,如果北极狐种群增加的能量为80KJ,那么其中来自雷鸟和植物的能量分别为    KJ和    KJ。

   ⑷图乙中D代表生态系统成分中的     

   ⑸下表表示图乙生态系统的能量流动情况。

 
同化总量(106J)
储存能量(106J)
呼吸消耗(106J)
A
900
200
700
B
100
15
85
C
15
2
13
D
180
60
120

   分析上表可知,流入该生态系统的总能量为     106J,从第二营养级到第三营养级的能量传递效率为      。从能量输入和输出来看,该生态系统的总能量是否增加?     

试题详情

26.(10分)在“探究培养液中酵母菌种群数量变化”的实验中:

   ⑴对酵母菌进行计数可以采用    的方法,从试管中吸出培养液进行计数之前,要        。如果实验时发现血球计数板的一个小方格内酵母菌过多,难以数清,应当采取的措施是             

   ⑵如果提出的问题是“培养液中酵母菌种群的数量是怎样随时间变化的?”,试针对这一问题作出假设:             

   ⑶某一组同学为了探究“温度(5℃、28℃)对酵母菌种群数量变化是如何影响的?”设计了实验方案,进行了为期7天的实验,每天定时取样,并在实验前设计了记录实验数据的表格,如下:

酵母菌数   时间
/个•mL-1   /天
温度/℃
第1天
第2天
第3天
第4天
第5天
第6天
第7天
5
 
 
 
 
 
 
 
28
 
 
 
 
 
 
 

   根据上述表格,有人认为该同学设计的实验方案不能够准确反映酵母菌种群数量的变化,请指出该方案不足之处:                    

   ⑷另一组同学为探究培养液中酵母菌种群数量的变化,设计了3组实验(见下表)。每隔24小时取样并计数,实验结果略。

试管编号
培养液(mL)
无菌水(mL)
酵母菌母液(mL)
温度(℃)
A
10
--
0.1
28
B
10
--
0.1
5
C
--
10
0.1
28

   上述实验目的是:探究       对酵母菌种群动态变化的影响。

试题详情

25.右图是“土壤中动物类群丰富度的研究”实验中常用的

两种装置,下列有关叙述正确的是     (   )

   A.A装置的花盆壁C和放在其中的土壤之间留一定

空隙的目的是便于空气流通

   B.B装置通常用于对体型较小的土壤动物进行采集

   C.A装置主要是利用土壤动物趋光、避高温、趋湿的

习性采集

   D.用B装置采集的土壤动物可以放入体积分数70%的

酒精溶液中

第Ⅱ卷(非选择题  共50分)

试题详情

24.a 具有出生、性别、年龄、死亡等特征,b具有出生率、性别比例、年龄组成等特征,则a、b的特征分别属于                      (   )

   A.都可表示个体的特征         B.个体和种群  

   C.种群和个体              D.都可表示种群的特征

试题详情

23.下图为生态系统中能量流动图解部分示意图,①②③④⑤各代表一定的能量值,下列各项中不正确的是                (   )

   ①第三营养级流向第四营养级的能量传递效率为(③+④/②)×100%

   ②图中④包含了次级消费者粪便中的能量

   ③在人工饲养的高密度鱼塘中⑤肯定大于①

   ④在食物链中各营养级获得能量的方式及能量的用途完全相同

   A.①②③④     B.①②③      C.①④       D.②③

试题详情

22.下列有关生物学中几个“率”的叙述错误的是               (   )

   A.出生率和死亡率对种群的大小和种群密度起决定作用

   B.适当降低温度可以降低绿色植物的细胞呼吸速率

   C.生态农业的建立,提高了各营养级间的能量传递效率

   D.种群数量变化的“J”型曲线中,种群增长率保持稳定

试题详情

21.某生态系统中,植物生长迅速,分解者分解速度快,腐殖质积累少,植物层次分明。该生态系统最可能是                        (   )

   A.热带雨林              B.温带落叶阔叶林

   C.草原                D.北方针叶林

试题详情

20.某种群刚迁入一个新的栖息地后,种群开始增长。随着时间的推移,种群停止增长并维持相对稳定。在停止增长期间                    (   )

   A.增长率大于零           B.老年个体数量最多

   C.出生率及死亡率均为零       D.种群密度最大

试题详情


同步练习册答案