0  364244  364252  364258  364262  364268  364270  364274  364280  364282  364288  364294  364298  364300  364304  364310  364312  364318  364322  364324  364328  364330  364334  364336  364338  364339  364340  364342  364343  364344  364346  364348  364352  364354  364358  364360  364364  364370  364372  364378  364382  364384  364388  364394  364400  364402  364408  364412  364414  364420  364424  364430  364438  447090 

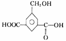
24. (8分)

   某有机物结构简式如下:

   (1)该有机物的分子式为       名称为       

   (2)每个该有机物分子中含       个甲基。

   (3)写出该有机物完全燃烧的化学方程式            

试题详情

23. (6分)

海洋是一个远未开发的巨大化学资源宝库,其中含有80多种元素均可从中提取。其中常以电解饱和食盐水的方法制取同时得到烧碱和氢气,有关化学方程式为            的提取是采用向酸化的浓海水中通入置换出的方法而获得,有关的离子方程式为          常以含碘元素较丰富的海产品        为原料通过一定的工艺流程而制得。

试题详情

22. 一定质量的某有机物与足量金属钠反应,可得VAL气体。相同质量的该有机物与适量的溶液反应,可都VBL气体。已知在同温、同压下VA和VB不相同,则该有机物可能是

   ①CH3CH(OH)COOH   ②HOOC-COOH   ③CH3CH2COOH

   ④

   A、①②   B、②③    C、③④    D、①④

第II卷(非选择题  共46分)

试题详情

21. 据报道,最近辆摩托罗拉公司研发了一种由甲醇和氧气以及强碱作电解质溶液的新型手机电池,电量可达现在使用的镍氢电池或锂电池的十倍,可连续使用一个月才能充一次电,其电池反应为;,则下列说法错误的是

   A、放电时CH3OH参与反应的电极为正极

   B、充电时电解质溶液的pH增大

   C、放电时电池负极反应式为

   D、充电时每生成1molCH3OH转移6mol

试题详情

20. 有三种短周期元素分别为,已知元素的原子最外层只有一个电子,元素原子最外层电子数是其内层电子数的2倍,是地壳中含量最高的元素,则这三种元素所组成的化合物的化学式不可能是

   A、     B、     C、     D、

试题详情

19. 乙烷和丙烷的混合物完全燃烧后,先将产物通过弄,浓增重2.04g,然后通过增重2.24g混合气体中乙烷和丙烷的物质的量之比为

   A、1:1    B、2:3    C、3:2    D、3:5

试题详情

18.有机化合物可能发生的化学反应有

   ①加成  ②氧化  ③燃烧  ④加聚  ⑤取代

   A、①②③     B、①②③④⑤     C、①②③④    D、①③④

试题详情

17.主链上含有5个碳原子,有甲基、乙基2个支链的烷烃有

   A、2种    B、3种      C、4种    D、5种

试题详情

16. 1mol液态有机物分别与足量溶液、溶液反应,消耗三种药品的物质的量之比为

   A、3:2:1    B、3:1:1    C、3:1:2    D、2:3:1

试题详情

15. 有两种气态烷烃的混合物,在标准状况下,密度为1.16g/L,则下列关于此混合物组成的说法正确的是

   A、一定有甲烷     B、一定有乙烷

   C、可能是甲烷和戊烷的混合物    D、可能是乙烷和丙烷的混合物

试题详情


同步练习册答案