0  364506  364514  364520  364524  364530  364532  364536  364542  364544  364550  364556  364560  364562  364566  364572  364574  364580  364584  364586  364590  364592  364596  364598  364600  364601  364602  364604  364605  364606  364608  364610  364614  364616  364620  364622  364626  364632  364634  364640  364644  364646  364650  364656  364662  364664  364670  364674  364676  364682  364686  364692  364700  447090 

1. 下列关于碳族元素及化合物的性质的描述不正确的是(  )

A.除Pb外,+4价化合物是稳定的

B.RO和RO2(除CO2)均不跟水反应

C.RH4的稳定性随相对分子质量增大而增大

D.RH4的沸点从碳到铅逐渐升高

(此题考查碳族元素单质及化合物的相似性和递变性。)

试题详情

4. (1)碳  碳有金刚石、石墨和C60等同素异形体。

碳在常温下,化学性质不活泼,在高温下,能跟许多物质起反应。碳在氧气或空气中燃烧;碳能跟氧化铜、二氧化碳、水蒸气、浓硫酸反应。

(2)一氧化碳  一氧化碳是无色无味的剧毒气体,难溶于水。

具有可燃性、还原性,如能和氧气、氧化铜、氧化铁反应。

(3)二氧化碳  二氧化碳是无色无味的气体,能溶于水,密度比空气大。

属于酸性氧化物,能和水、氧化钙、氢氧化钙、氧化钠、次氯酸钙等反应。实验室里,用大理石(或石灰石)与稀盐酸制得,工业上用石灰石高温分解制得。

(4)碳酸盐及碳酸氢盐  碳酸盐除钠、钾、铵的盐溶于水以外,其它盐不溶于水。碳酸氢盐都溶于水,其中碳酸氢钠溶解度较小。

它们都可以和盐酸反应。碳酸氢盐不稳定,受热分解;碳酸氢盐和氢氧化钠反应。

典型题点击

试题详情

3. 该族元素随着原子序数的递增,原子半径增大,得电子能力减弱,失电子能力增强;非金属性减弱,金属性增强;最高价氧化物的水化物的酸性依次减弱,气态氢化物稳定性渐弱。

试题详情

2. 原子最外层都有4个电子,故该族元素的原子得电子能力较弱,失电子能力也较弱。主要化合价为+2、+4价(其中碳和硅有负价),在化合物中多以+4价稳定(铅在化合物中以+2价稳定)。

试题详情

1.碳族元素包括碳、硅、锗、锡、铅五种元素,位于周期表中ⅣA族。

试题详情

15.把一铁片投入盛有足量稀硝酸的烧瓶中,反应产生的气体全部收集在容器A中,待铁片全部溶解后,将烧瓶中的溶液浓缩、结晶,将所得的固体充分加热,使其完全分解,分解产生的气体也一并收集到A中。将A倒置于水槽,当水面不再上升时,再通入0.672L(标准状况)的氧气,使A中充满溶液,求投入铁片的质量和A溶液中溶质的质量。

[提示:4Fe(NO3)3△==2Fe2O3+12NO2↑+3O2↑]

试题详情

14.市场上出售的“热敷带”的主要成分是铁屑、碳粉、木屑、少量的氯化钠、水等。“热敷带”启用之前用塑料袋密封,启用时,打开塑料袋轻轻揉搓就会放出热量。使用完后,会产生大量铁锈。

(1)“热敷带”放热的原理是:______________________________________________

(2)碳粉的作用是:     氯化钠的作用是:_____________________________

(3)有关电极反应是:________________________________________________________

总反应为:_____________________________________________________________

试题详情

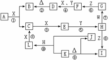
13.下图是中学化学中常见物质之间的相互转化关系。其中,X是气体单质,Y是液体化合物,Z是常见的碱且焰色反应为黄色;W、L是固体单质,K、I中含有相同的元素;反应①是高温下进行的工业上制取H的第一步反应。请按要求填空:

  (1)Y、Z的电子式分别为 Y        

          

(2)写出下列反应的化学方程式:

                          

                          

                          

(3)反应⑩中生成 1molL时,转移的电子数为        

试题详情

12.由单质A与化合物B两种粉末组成的混合物, 在一定条件下可按下图所示发生转化:

   

请回答:

(1)A的化学式           

B的化学式            

(2)反应①的化学方程式

                       

(3)反应②的离子方程式

                        

(4)反应③的离子方程式

                        

(5)反应④的离子方程式                         

试题详情

11.在制取氢氧化亚铁时,要用新制备的硫酸亚铁溶液,其原因是             ,氢氧化钠溶液要煮沸再冷却后使用,其原因是                      ,还要将吸有氢氧化钠溶液的胶头滴管插入到液面以下,逐滴滴入氢氧化钠溶液,其原因是

                                        

试题详情


同步练习册答案