0  369121  369129  369135  369139  369145  369147  369151  369157  369159  369165  369171  369175  369177  369181  369187  369189  369195  369199  369201  369205  369207  369211  369213  369215  369216  369217  369219  369220  369221  369223  369225  369229  369231  369235  369237  369241  369247  369249  369255  369259  369261  369265  369271  369277  369279  369285  369289  369291  369297  369301  369307  369315  447090 

6.曹润堂诗:“不信中原力已疲,忍将和局误师期。谁知辽海消兵日,正是军民痛哭时

与此诗有关的是

A.鸦片战争     B.第二次鸦片战争   C.甲午中日战争    D.八国联军侵华战争

试题详情

5.马克思说:“(罗马帝国)到处都由罗马法官根据罗马法进行判决,从而使地方上的社会秩序都被宣布无效。”对这段话的准确理解是               

A、法官是罗马帝国的最高统治者  B、法官滥用权力,造成社会秩序混乱

C、罗马法官建立了罗马帝国    D、罗马法稳固了帝国的政治经济基础

试题详情

4.说古奥运会是为祭祀宙斯神而举办的,运动会期间希腊各邦都必须停战,优胜者将被看作是英雄而受到热烈欢迎。古希腊还规定参加运动会的每个竞技者必须是纯希腊血统、未受过任何刑罚的自由男子,并且禁止妇女参加和观看运动会。对上述材料理解有误的是

A.古希腊人十分重视奥林匹克运动会   

B.古希腊奥运会具有十分鲜明的民族和宗教色彩  

C.古代希腊存在着对妇女、奴隶和移民的歧视

D.由于奥运会的存在,希腊各邦之间不再发生战争

试题详情

3.历史学家钱穆说:“故中国政制之废宰相,统‘政府’于‘王室’之下,……其事乃起于明而完成于清,则相沿亦已六百年之久。”据此,可以作出的合理推断是

A.明以前政府权力完全被丞相掌控  

B.废除丞相后六部直接隶属于皇帝

C.明以前实行皇帝与丞相分权制度 

D.丞相制度经过六百多年才被废除

试题详情

2.柳宗元在《封建论》一文中说:“时则有叛人而无叛吏,人怨于下而吏畏于上,天下相合,杀守劫令而并起。”他得出“有叛人而无叛吏”的认识,是由于

A.分封制的确立   B.郡县制的确立    C.宗法制的确立   D.三省制的确立

试题详情

1.“昔武王克商,成王定之。选建明德,以蕃屏周。”说明西周实行分封制度的主要目的是    

A.选拨德才兼备之人        B.扩大疆域 

C.巩固周王室统治         D.团结功臣贵族

试题详情

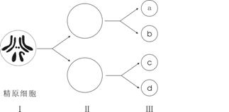
44.(12分)下图为果蝇细胞分裂图

(1)图Ⅱ的细胞叫_____________。

(2)若图Ⅲ中的a与一只红眼雌果蝇产生的卵细胞结合发育成一只白眼雄果蝇,则b的染色体类型为______________(X或Y)。

(3)(已知果蝇刚毛和截毛这对相对性状由X和Y染色体上一对等位基因控制的,刚毛(B)对截毛(b)为显性;控制果蝇的红眼和白眼性状的基因只存在于X染色体上,红眼(R)对白眼(r)为显性(如右图所示)。

A.若只考虑刚毛和截毛这对性状的遗传:

① 果蝇种群中雄果蝇的基因型除了有XBYB(如图所示)和XBYb  外,还有________ ________;

② 现将两只刚毛果蝇杂交,子代雌果蝇中既有刚毛,又有截毛,  雄果蝇全为刚毛,则这两只果蝇的基因型是_________  _______;

B.种群中有各种性状的雌果蝇,现有一只红眼刚毛雄果蝇(XR_Y_),要通过一次杂交实验判定它的基因型,应选择________雌果蝇与该只果蝇交配,然后观察子代的性状表现。(提示:果蝇的性别常常需要通过眼色来识别)

① 如果子代果蝇均有刚毛,则该雄果蝇基因型为XRBYB

② 如果子代________________________________________________________;

③ 如果子代________________________________________________________。

试题详情

43. (10分)基因突变、基因重组和染色体变异是生物产生可遗传变异的三个来源。右图是生产实践中的几种不同育种方法。请分析回答下面的问题。

(1)图中A、D所示方向的育种方式与A→B→C方向所示的育种方式相比较,后者的优越性主要表现在            。 

(2)过程B常用的方法为       ,植株的获得利用了细胞的_______;过程F经常采用的药剂为      , 其作用原理是    

(3)请分别写出这些育种方式所依据的遗传学原理:

①E:       ;②F:       ;

③GHIJ:       

(4)过程GHIJ所代表的育种方法需要使用的工具酶有           

试题详情

42. (8分)下图示某遗传系谱,两种致病基因位于非同源染色体上。根据条件分析回答。

(1)如果1号不带甲病基因,则:①甲病基因在_____染色体上;②乙病属于_______(显、隐)性遗传病;③4号是杂合子的概率为_______;④5号和一位乙病基因携带者的正常个体婚配,生出正常女儿的基因型和对应的概率分别是_______(2分)。

(2)如果1号携带甲病基因,则4号与1号基因型相同的概率是_______。

(3)经检查,1、2号均不带乙病基因,则5号致病基因来源于_______,5号相关的基因型最可能是_______。

试题详情

41.(10分)下图为某雌性动物细胞分裂示意图。请回答:

(1)该动物体内能同时找到图中各细胞的器官是________。

(2)①为________ (过程),其最终产生的子细胞的基因型为________________。

(3)丙细胞的名称是__________内有______个染色体组,分裂完成可以形成_____个生殖细胞。

(4) 图中①②过程变异的不同是②可以发生_______________.

(5)如果该生物进行测交,另一亲本体细胞中基因的组成      。(Y上没有C的等位基因)

(6)丙图中两条子染色体中出现了A 和a,原因是_____________  __________________

试题详情


同步练习册答案