0  374050  374058  374064  374068  374074  374076  374080  374086  374088  374094  374100  374104  374106  374110  374116  374118  374124  374128  374130  374134  374136  374140  374142  374144  374145  374146  374148  374149  374150  374152  374154  374158  374160  374164  374166  374170  374176  374178  374184  374188  374190  374194  374200  374206  374208  374214  374218  374220  374226  374230  374236  374244  447090 

10.B    11.D   12.A   13.C   14.B    15.C   16.A   17.C

考点“逐一破”

例1: BD

变式训练1  C

变式训练2  AD

例2:④>③=②>①

变式训练3 A

变式训练4  D

例3:

变式训练5 

变式训练6 

 

 (3)B

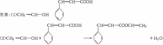
变式训练7、(1)CH2=CH2,HOOC(CH2)4COOH。

(2)ClCH2CH2Cl+NaOHCH2=CHCl+NaCl+H2O;

ClCH2CH2Cl+2NaOH(aq)HOCH2CH2OH+2NaCl。

(3)①加成反应;⑤缩聚反应

变式训练8(1)

(2)AC   (3)E(酯类)

(4)溴的四氯化碳溶液   饱和Na2CO3溶液   酸性高锰酸钾溶液

(5)2CH2CH2+2CH3COOH+O22CH3COOCHCH2+2H2O

高考真题“试一试”

试题详情

1. BC   2. B    3. B   4. B    5. A C   6. B    7.B   8AB   9.BD

试题详情

2.    缩聚反应

第二步: 加聚产物的单体推断方法

(1) (2)  

(3)

第三步:缩聚产物的单体推断方法

(1)

(2)  、

 (3)  、

基础知识梳理

试题详情

1.    加聚反应

试题详情

12.(10分)茚是一种碳氢化合物,其结构为:  茚有一种同分异构体A,A分子中含有一个苯环,且苯环上只有一个侧链,侧链中有一个碳碳不饱和键。A能发生如下变化:

已知:

①   多个羟基连在同一个碳原子上不稳定,易自动失水:

 

若B、C、D、E分子中均有一个苯环,根据变化关系图和已知条件,请回答

⑴ A的结构简式是        B的结构简式是         

⑵ 写出下列反应的化学方程式

①   E经缩聚生成高聚物                     

②   F经加聚生成高聚物                    

⑶ E→F的有机反应类型是        反应。

(4)茚与硫酚  反应生成的反应类型是      反应。

基础知识梳理

加聚反应和缩聚反应对比

比较项目
加聚反应
缩聚反应
反应物的特征
含不饱和键
含双官能团 如:-OH,   -COOH,-NH2
反应物的种类
相同或不同的单体
相同或不同的单体
产物的特征
高聚物与单体间具有相同的组成
高聚物与单体的组成不相同
产物的种类
只有高聚物
高聚物和小分子

第一步:判断聚合类型

试题详情

11. (MCE96、08江苏改编)Nomex纤维是一种新型阻燃性纤维,它是由间苯二甲酸和间二苯胺在一定条件下以等物质的量缩聚合成,

 

  (1) 请把Nomex纤维结构简式写在下面的方框中.

  (2)高聚物G也可由通过肽键连接而成,G的结构简式是         

试题详情

10.现有两种烯烃:,它们的混合物进行聚合反应后,产物中含

A.①⑤  B.②④   C.①③⑤    D.只有①硅橡胶是一种

试题详情

9. 有机物CH2=CH-CH2-CH(OH)-COOH在不同条件下可能发生有机反应类型有:①加成;②取代;③消去;④氧化;⑤酯化;⑥加聚;⑦缩聚。其中因分子结构中含-OH而可能发生的反应有                           (   )

A.①④⑥⑦   B.③④⑤   C.②③④⑤⑦   D.全部

试题详情

8. 维通橡胶是一种耐腐蚀、耐油、耐高温、耐寒性能都特别好的氟橡胶。它的结构简式见下图:

合成它的单体为

A  氟乙烯和全氟异丙烯      B  1,1-二氟乙烯和全氟丙烯

C  1-三氟甲基-1,3-丁二烯   D  全氟异戊二烯

试题详情

7. PHB塑料是一种可在微生物作用下降解的环保型塑料,其结构简式为:

下面有关PHB说法不正确的是

A.PHB是一种聚酯          

B.PHB的单体是CH3CH2(OH)COOH

C.PHB的降解产物可能有CO2和H2O     

D.PHB通过加聚反应制得

试题详情


同步练习册答案