0  376122  376130  376136  376140  376146  376148  376152  376158  376160  376166  376172  376176  376178  376182  376188  376190  376196  376200  376202  376206  376208  376212  376214  376216  376217  376218  376220  376221  376222  376224  376226  376230  376232  376236  376238  376242  376248  376250  376256  376260  376262  376266  376272  376278  376280  376286  376290  376292  376298  376302  376308  376316  447090 

16.已知甲、乙、丙分别代表中学化学中的常见物质,请根据题目要求完成下列问题:

(1)甲的化学式为RCl3,其溶液在加热蒸干并灼烧时可发生反应:

a.甲+H2O乙+丙   b.乙氧化物+H2O

①若甲为某用途广泛的金属元素的氯化物,其溶液在上述变化中生成的氧化物为红棕色粉末,则该金属在周期表里的位置是:____________________。

②若甲为某短周期金属元素的氯化物,则甲发生a反应的化学方程式为:________________。

③将以上两种金属单质用导线连接,插入NaOH溶液构成原电池,则负极发生的电极反应为:_______________。

(2)若甲、乙、丙均是短周期中同一周期元素形成的单质或化合物,常温下乙为固体单质,甲和丙均为气态化合物,且可发生反应:甲+乙丙。则:

①甲的结构式为______________________。

②写出上述反应的化学方程式:___________________。

③写出向200 mL 2 mol·L-1的NaOH溶液中通入6.72 L(标准状况)的气体甲发生完全反应的总离子方程式______________________。

试题详情

15.有Ba(OH)2、NaHSO4、NaHCO3三种溶液,已知其中两种溶液的物质的量浓度相同,且分别为另一种溶液的物质的量浓度的2倍;若先将NaHSO4和NaHCO3溶液各 100 mL混合反应后,再加入Ba(OH)2溶液100mL,充分反应后,将生成的白色沉淀滤出,测得滤液中只含一种NaOH溶质,其物质的量的浓度为0.9mol/L(不考虑溶液混和时引起溶液体积的变化),试回答:

(1)通过分析,判断原Ba(OH)2、NaHSO4、NaHCO3三种溶液中哪两种溶液的物质的量的浓度不可能相同?         ,原因是         

(2)Ba(OH)2、NaHSO4、NaHCO3三种溶液可能的物质的量的浓度分别为__________、_________、_________。

试题详情

14.将等质量混合的铜、锌、铁三种金属组成的混合物W g 加入到FeCl3和盐酸组成的混合液中,充分反应后:

(1)若无固体剩余,则溶液中一定有的金属离子是_____________________,可能有的金属离子是______。

(2)若剩余固体W/3g,则溶液中金属离子一定有_____________________,一定没有________________。

试题详情

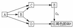
13.按下图要求写出下列两个反应的化学方程式,属于离子反应的写出离子方程式。

(1)B→C+D________________________________;

(2)E→F___________________________________。

试题详情

12.把一支表面被氧化成10.2g氧化铝的铝条A,放入1L1.5mol/L热氢氧化钠溶液中,过一段时间后取出铝条,溶液质量增加了12.6g,此时的溶液称为甲溶液,体积仍为1L。再把另一支表面也被氧化的一定量的铝条B,放入1L0.9mol/L硫酸溶液中,过一会儿取出,其质量减小了25.8g,溶液的质量增加了25.2g,此时的溶液称为乙溶液,体积仍为1L。回答下列问题: (1)甲溶液的溶质是________________(写化学式),其物质的量_____________________。

(2)乙溶液的溶质是_______________________(写化学式),其物质的量是__________。

(3)将甲、乙两溶液反应,若使滴加的量最少,而产生的沉淀最多,应将________溶液______L滴加到_________溶液(用“甲”或“乙”填写),产生的沉淀最多是_______g。

试题详情

11.将一定量的NaOH和NaHCO3的混合物A,放在密闭容器中加热,充分反应后生成气体V1L(V1≠0)。将反应后的固体残渣B与过量盐酸反应,又生成CO2V2L。(气体体积在标准状况下测定)

(1)B的成分是______________。

A.Na2CO3与NaOH   B.Na2CO3与NaHCO3  

C.Na2CO3        D.NaOH

(2)A中NaOH与NaHCO3共_____________mol;NaOH与NaHCO3物质的量之比为_____________。

试题详情

10.将5.6 g Fe投入浓硝酸溶液,产生红棕色气体A,把所得溶液减压蒸干,得到20g Fe(NO3)2和Fe(NO3)3的混合物,将该固体在高温下加热,得到红褐色的Fe2O3和气体B,A、B气体混合通入足量水中,在标准状况下剩余气体的物质的量为

A.2240mL  B.4480mL   C.3360mL   D.1120mL

试题详情

9.将含O2和CH4的混合气体充入装有23.4gNa2O2的密闭容器中点燃,反应结束后,容器温度为150℃,压强为0pa,将残留物溶于水无气体逸出。下列叙述正确的是

A.原混合气体中O2和CH4的体积比为2:1  

B.原混合气体中O2和CH4的体积比为1:2

C.残留固体中有Na2CO3和NaOH      

D.残留固体中只有Na2CO3

试题详情

8.冶炼金属一般有下列四种方法:①焦炭法;②水煤气(或氢气,或一氧化碳)法;③活泼金属置换法;④电解法。四种方法在工业上均有应用。古代有(Ⅰ)火烧孔雀石炼铜;(Ⅱ)湿法炼铜;现代有(Ⅲ)铝热法炼铬;(Ⅳ)从光卤石中炼镁,对它们的冶炼方法的分析不正确的是

A.(Ⅰ)用①    B.(Ⅱ)用②   

C.(Ⅲ)用③    D. (Ⅳ)用④

试题详情

7.0.001mol金属放入10mL0.1mol/L某酸溶液中,产生22.4mL氢气(标准状况),下列情况中一定不可能的是

A.一价金属和一元酸   B.二价金属和二元酸  

C.三价金属和二元酸   D.二价金属和一元酸

试题详情


同步练习册答案