0  376376  376384  376390  376394  376400  376402  376406  376412  376414  376420  376426  376430  376432  376436  376442  376444  376450  376454  376456  376460  376462  376466  376468  376470  376471  376472  376474  376475  376476  376478  376480  376484  376486  376490  376492  376496  376502  376504  376510  376514  376516  376520  376526  376532  376534  376540  376544  376546  376552  376556  376562  376570  447090 

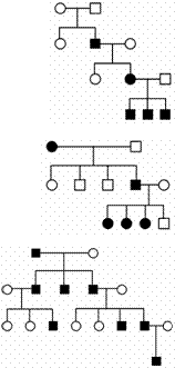
(二)人类红绿色盲症:1、基因的位置:X染色体上,在Y染色体上没有与此相关的等位基因

 
女性
男性
表现型
正常
正常(携带者)
色盲
正常
色盲
基因型
XBXB
XBXb
XbXb
XBY
XbY

2、相关基因型(见右表)

3、遗传特点--交叉遗传

男性红绿色盲基因只能从母亲那里传来,以后只能传给女儿

试题详情

(一)概念:位于性染色体上的基因所控制的性状,在遗传上总是和性别相关联的现象。

试题详情

(二)基因自由组合定律的实质

1、位于非同源染色体上的非等位基因的分离和组合是互不干扰的。

2、在减数分裂过程中,同源染色体上的等位基因彼此分离的同时,非同源染色体上的非等位基因自由组合。

[基础训练]

1、下列关于基因和染色体关系的叙述,错误的是(  C  )

A、染色体是基因的主要载体             

B、基因在染色体上呈线性排列

C、一条染色体上有一个基因             

D、体细胞(细胞核)中基因成对存在,染色体也成对存在

2、一对表现型正常的夫妇,生了一个既患白化病(a)又患色盲(b)的男孩。此男孩外祖父和外祖母的基因型不可能是(  C  )

A、AaXBY、AaXBXb  B、AaXBY、aaXbXb    C、AAXbY、AAXBXb  D、AaXBY、aaXBXb

3、已知果蝇中,灰身与黑身为一对相对性状(显性基因用B表示,隐性基因用b表示);直毛与分叉毛为一对相对性状(显性基因用F表示,隐性基因用f表示)。两只亲代果蝇杂交得到以下类型和比例:

请回答:

 
灰身、
直毛
灰身、
分叉毛
黑身、
直毛
黑身、
分叉毛
雌蝇
3/4
0
1/4
0
雄蝇
3/8
3/8
1/8
1/8

(1)控制灰身与黑身的基因位于常染色体;控制直毛与分叉毛的基因位于X染色体

(2)亲代果蝇的表现型为♀灰身直毛♂灰身直毛

(3)亲代果蝇的基因型为BbXFXfBbXFY

(4)子代表现型为灰身直毛的雌蝇中纯合子与杂合子的比例为15

(5)子代雄蝇中,灰身分叉毛的基因型为BBXfYBbXfY;黑身直毛的基因型为bbXFY

[高考模拟]

4、(2007广东高考)(多选)果蝇中,正常翅(A)对短翅(a)为显性,此对等位基因位于常染色体上;红眼(B)对白眼(b)为显性,此对等位基因位于X染色体上。现有一只纯合红眼短翅的雌果蝇和一只纯合白眼正常翅雄果蝇杂交,你认为杂交结果正确的是(  AC  )

A、F1中无论雌雄都是红眼正常翅         

B、F2雄果蝇的红眼基因来自F1的父方

C、F2雄果蝇中纯合子与杂合子的比例相等   

D、F2雌果蝇中正常翅个体与短翅个体的数目相等

5、(2007全国卷Ⅰ)回答下列Ⅰ、Ⅱ小题:

Ⅰ、雄果蝇的X染色体来自亲本中的蝇,并将其传给下一代中的蝇。雄果蝇的白眼基因位于X染色体上,Y染色体上没有该基因的等位基因,所以白眼这个性状表现为伴性遗传。

Ⅱ、已知果蝇刚毛和截毛这对相对性状由X和Y染色体上一对等位基因控制,刚毛基因(B)对截毛基因(b)为显性,现有基因型分别为XBXB、XBYB、XbXb和XbYb的四种果蝇。

(1)根据需要从上述四种果蝇中选择亲本,通过两代杂交,使最终获得的后代果蝇中,雄性全部表现为截毛,雌性全部表现为刚毛,则第一代杂交亲本中,雄性的基因型是XbYb,雌性的基因型是XBXB;第二代杂交亲本中,雄性的基因型是XBYb,雌性的基因型是XbXb,最终获得的后代中,截毛雄蝇的基因型是XbYb,刚毛雌蝇的基因型是XBXb

(2)根据需要从上述四种果蝇中选择亲本,通过两代杂交,使最终获得的后代果蝇中,雌性全部表现为截毛,雄性全部表现为刚毛,应如何进行实验?(用杂交实验的遗传图解表示即可)

试题详情

(一)基因分离定律的实质

1、杂合子的细胞中,位于一对同源染色体上的等位基因具有一定的独立性

2、在减数分裂形成配子时,等位基因随同源染色体的分开而分离,分别进入两个配子中,独立地随配子遗传给后代。

试题详情

(四)基因的相对位置:基因在染色体上呈线性排列。

试题详情

(三)实验结论:基因在染色体上。

试题详情

(二)实验现象的解释(见右图)。

试题详情

(一)实验过程及现象

P:红眼(♀)×白眼(♂)→F1红眼(♀和♂)     F2:3/4红眼(♀和♂)、1/4白眼(♂)。

白眼性状的表现总是与性别相联系的。

试题详情

(二)依据:基因和染色体行为存在着明显的平行关系

1、基因在杂交过程中保持完整性和独立性。染色体在配子形成和受精过程中,也有相对稳定的形态结构。

2、在体细胞中基因成对存在,染色体也成对存在。在配子中成对的基因只有一个,成对的染色体也只有一条

3、体细胞中成对的基因一个来自父方,一个来自母方同源染色体也是如此。

4、非等位基因在形成配子时自由组合,非同源染色体在减数第一次分裂后期也是自由组合的。

试题详情

(一)内容:基因是由染色体携带着从亲代传递给子代的,即基因就在染色体上。

试题详情


同步练习册答案