0  391615  391623  391629  391633  391639  391641  391645  391651  391653  391659  391665  391669  391671  391675  391681  391683  391689  391693  391695  391699  391701  391705  391707  391709  391710  391711  391713  391714  391715  391717  391719  391723  391725  391729  391731  391735  391741  391743  391749  391753  391755  391759  391765  391771  391773  391779  391783  391785  391791  391795  391801  391809  447090 

20.下图是某一生物个体的细胞分裂示意图和染色体、染色单体、DNA分子数目关系图。请回答以下问题:

(1)若图Ⅰ中的2和6表示两个Y染色体,则此图可以表示的细胞是(   )

      A.体细胞       B.初级卵母细胞   C.初级精母细胞    D.次级精母细胞

(2)该生物体细胞中染色体数最多有      条。假设该生物的一个初级精母细胞中的一条染色体上的DNA分子用15N进行标记,正常情况下,在该细胞分裂形成的精子细胞中,含15N的精子所占比例为    

(3)图Ⅱ中有    个染色单体,如果①上某位点有基因B,②上相应位点的基因是b,发生这种变化的原因可能有                

(4)图Ⅱ细胞中染色体、染色单体、DNA数量关系可用图Ⅲ中的      表示。

[答案](1)A  (2)8  50%  (3)4  基因突变或染色体交叉互换(答对一点即得分)   (4)乙

试题详情

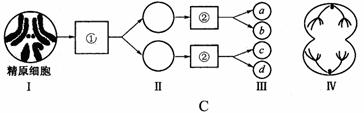
19.图A与图B表示某生物细胞分裂过程中核内染色体数目的动态变化过程,图C表示果蝇的精原细胞分裂产生精子细胞的示意图,其中Ⅳ细胞中只表示了部分染色体的情况,请据图回答:

 

 

(1)图A中,一个完整的细胞周期是指_____段(填字母)。cd段表示细胞分裂进入_____期。

(2)图B表示动物或低等植物的_____分裂,相当于图A中的一段是_____。(填字母)

(3)图C中,Ⅳ细胞表示的时期对应于图中________方框的位置(填①或②)。Ⅱ中的每个细胞具有同源染色体的对数和染色单体个数依次是________。Ⅲ每个细胞的核DNA含量是①细胞的________。

(4)假定该果蝇的三对常染色体上各有一对等位基因,则这个精原细胞可产生____种精子

[答案](8分)(1)  ej  后   (2)有丝   bc或gh (答出一段即可)  

(3) ①   0和8    1/4   (4)2

试题详情

18. A、B两图分别表示某种高等动物正在进行减数分裂的细胞,据图回答:

(1)A图表示减数第   次分裂。该细胞分裂完成后,形成的子细胞是      。(2)B图表示减数第   次分裂。该细胞分裂完成后,形成的子细胞是     

  (3)A图有DNA分子    个。

[答案]⑴一;次级精母细胞  ⑵二;卵细胞和极体  ⑶8

试题详情

17.用3H标记小白鼠(体细胞含20对同源染色体)的精原细胞和皮肤生发层细胞的DNA分子双链,再将这些细胞转入不含3H的培养基中培养,在前者减数第二次分裂后期和后者第二次有丝分裂后期,一个细胞中的染色体总条数和被3H标记的染色体条数分别为(   )

     A.前者20和10,后者40和20      B.前者40和40,后者80和40

     C.前者40和20,后者80和40    D.前者40和20,后者80和80

[答案]B

试题详情

16.一个初级精母细胞在减数分裂的第一次分裂时,有一对同源染色体不发生分离,所形成的次级精母细胞减数分裂的第二次分裂正常。另一个初级精母细胞减数分裂的第一次分裂正常,减数第二次分裂时,在两个次级精母细胞中,有一个次级精母细胞的1条染色体的姐妹染色单体没有分开。两个初级精母细胞减数分裂的最终结果应当是 

A、前者产生全部不正常的配子,后者产生一半不正常的配子

B、前者产生一半不正常的配子,后者产生的配子都不正常

C、两者都产生一半不正常的配子     

 D、两者产生的配子全部都不正常

[答案]A

试题详情

15.基因型为Bb的动物,在其精子形成过程中,基因B与B、b与b和B与b的分开,分别发生在 

 ①精原细胞形成初级精母细胞  ②初级精母细胞形成次级精母细胞

③次级精母细胞形成精细胞   ④精细胞变形成为精子

A.①②③            B.③③②         C.②②②           D.②③④

[答案]B

试题详情

13.下图1是某生物的一个初级精母细胞,图2是该生物的五个精细胞。根据图中的染色体类型和数目,判断最可能来自同一个次级精母细胞的是

   A.①②    B.②⑤    C.③④    D.①⑤

[答案]B

  14.下图是某种动物不同细胞分裂的图像,下列与此相关的叙述中,不正确的是    (   )

    A.只有④所示细胞不具有同源染色体

    B.动物的睾丸中有可能同时发现上述4种细胞

    C.图②所示细胞状态往往导致基因重组

    D.①②③细胞中均含有8条染色单体

[答案]D

试题详情

12.某人染色体组成44+XYY,该病人可能是由于亲代产生配子时,下列哪种细胞分裂的后期,两条性染色体移向同一极所致                                                  (   )

    A.次级精母细胞                   B.次级卵母细胞

    C.初级精母细胞                   D.初级卵母细胞

[答案]A

试题详情

11.对某成年男性色盲患者睾丸内一正处于减数第二次分裂后期的细胞的描述,正确的是

A.细胞内有23条染色体,其中22条常染色体,1条性染色体,可能没有色盲基因

B.细胞内有46条染色体,其中44条常染色体,2条Y染色体,有一个色盲基因

C.细胞内有46条染色体,其中44条常染色体,2条X染色体,有2个色盲基因

D.细胞内有46条染色体,其中44条常染色体,1条X染色体,1条Y染色体,有1个色盲基因

[答案]C

试题详情

10.右图示某生物正在进行减数分裂的细胞,等位基因

A和a位于染色体的位置(不考虑互换)可能是                        (   )

    A.A位于①上,a位于⑤上

    B.A位于⑤上,a位于⑦上

    C.该细胞只有a,分别位于①和③上

    D.该细胞只有A,分别位于②和⑥上

[答案]C

试题详情


同步练习册答案