0  396687  396695  396701  396705  396711  396713  396717  396723  396725  396731  396737  396741  396743  396747  396753  396755  396761  396765  396767  396771  396773  396777  396779  396781  396782  396783  396785  396786  396787  396789  396791  396795  396797  396801  396803  396807  396813  396815  396821  396825  396827  396831  396837  396843  396845  396851  396855  396857  396863  396867  396873  396881  447090 

1、Na → Na2O → Na2O2 → NaOH → Na2CO3 → NaHCO3 → NaCl → Na

  Na → NaOH → CaCO3 → CaCl2 → CaCO3 → CaO → Ca(OH)2 → NaOH

试题详情

(熟记课本中有关实验的现象和化学反应方程式)

试题详情

 

1
2
3
4
5
6
7
8
9
10
11
12
13
A
B
ABD
D
BC
BD
AC
B
BC
D
C
A
C

                第Ⅱ卷  非选择题(共58分)

 

+

+

 

%
 
%
 
 

试题详情

19.如下图所示是固定在水平地面上的横截面为“”形的光滑长直导轨槽,槽口向上(图为俯视图)。槽内放置一个木质滑块,滑块的左半部是半径为R的半圆柱形光滑凹槽,木质滑块的宽度为2R,比“”形槽的宽度略小。现有半径r(r<<R)的金属小球以水平初速度V0冲向滑块,从滑块的一侧半圆形槽口边缘进入。已知金属小球的质量为m,木质滑块的质量为3m,整个运动过程中无机械能损失。求:

  (1)当金属小球滑离木质滑块时,金属小球和木质滑块的速度各是多大;

  (2)当金属小球经过木质滑块上的半圆柱形槽的最右端A点时,金属小球的对地速度。

        高三联考物理考试参考答案
 
 
#
 
@
 
#
 
    

试题详情

18.如图所示,已水平传送带以2m/s的速度传送物块,水平部分长为2m,其右端与一倾角为β=370的光滑斜面相连,斜面长为0.4m,一物块无初速度地放在传送带的最左端,已知物块与传送带间的动摩擦因数为,试问,物块能否达到斜面的顶端,若能请说明理由,若不能则请求出物块从出发后9.5s内运动的路程(传送带与斜面间平滑连接,取g=10m/s2)

 

试题详情

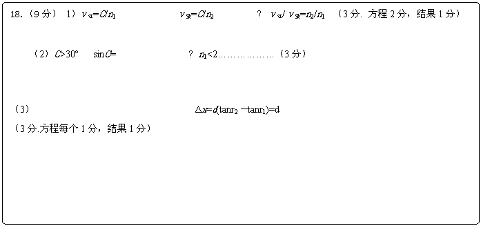
17.如图所示,有一截面是直角三角形的棱镜ABC,∠A=30º.它对红光的折射率为n1.对紫光的折射率为n2.在距AC边d处有一与AC平行的光屏。现有由以上两种色光组成的很细的光束垂直AB边射入棱镜.

  (1)红光和紫光在棱镜中的传播速度比为多少?

  (2)为了使红光能从AC面射出棱镜,n1应满足什么条件?

  (3)若两种光都能从AC面射出,求在光屏MN上两光点间的距离.

试题详情

16.一辆客车在某高速公路上行驶,在经过某直线路段时,司机驾车做匀速直线运动.司机发现其正要通过正前方高山悬崖下的隧道,于是鸣笛,经时间t1后听到回声;听到回声再行驶△t时间后,司机第二次鸣笛,又经时间t2 后,听到回声.已知声音在空中的传播速度为v0

  (1)请根据以上条件推导客车速度的表达式。

  (2)若此高速公路的最高限速为vm=120km/h,声音在空中的传播速度为v0=340m/s,测得t1=6,6s,t2=3,4s,△t=12s,请判断此客车是否超速。

试题详情

14(6分)如图示在“探究力的平行四边形定则”的实验中,用图钉把橡皮条的一端固定在板上的A点,在橡皮条的另一端拴上两条细绳,细绳另一端系着绳套B、C(用来连接弹簧测力计).其中A为固定橡皮筋的图钉,O为橡皮筋与细绳的结点,OB和OC为细绳.

(1)在实验中,如果只将细绳换成橡皮筋,其它步骤没有改变,那么实验结果__________    (填“会”或“不会”)发生变化.

(2)本实验采用的科学方法是 (    )

A.理想实验法    B.控制变量法

C.等效替代法       D.建立物理模型法

15.(9分)某同学利用打点计时器研究匀变速直线运动的实验中,需要调整好仪器,接通打点计时器的电源,松开纸带,使重物下落,打点计时

器会在纸带上打出一系列的点。

(1)为完成此实验,还需要的器材有     。(填入正确选项的字母)

A.米尺

B.秒表

C.0-12伏的直流电源

D.0-12伏的交流电源

(2)该同学从打下的若干纸带中选出了如图所示的一条(每两点间还有4个没有画出来),图中相邻两个计数点间的距离依次为OA=5.00cm,AB=7.04cm,BC=9.09cm,CD=11.18cm,DE=13.27cm,

EF=15.32cm. 打点计时器的电源频率为50Hz

由这些已知条件可计算出该匀变速直线运动的加速度为a=      m/s2,纸带上D点对应的瞬时速度为VD=      m/s

试题详情

13.如图所示,小车上有一定滑轮,跨过定滑轮的绳上一端系一重球,另一端系在弹簧秤上,弹簧秤固定在小车上.开始时小车处在静止状态.当小车匀加速向右运动时(   )

A.弹簧秤读数不变,小车对地面的压力不变

B.弹簧秤读数变大,小车对地面的压力变大     

C.弹簧秤读数变大,小车对地面的压力不变

D.弹簧秤读数不变,小车对地面的压力变大

.         

          第Ⅱ卷  非选择 题(共58分)

试题详情

12.两刚性球a和b的质量分别为、直径分别为(>)。将a、b球依次放入一竖直放置、内径为D(D<+)的平底圆筒内,如图所示。设a、b两球静止时对圆筒侧面的压力大小分别为,筒底所受的压力大小为.已知重力加速度大小为g。若所有接触面都是光滑的,则(     )

A.      B.

C.  D.

试题详情


同步练习册答案