0  406668  406676  406682  406686  406692  406694  406698  406704  406706  406712  406718  406722  406724  406728  406734  406736  406742  406746  406748  406752  406754  406758  406760  406762  406763  406764  406766  406767  406768  406770  406772  406776  406778  406782  406784  406788  406794  406796  406802  406806  406808  406812  406818  406824  406826  406832  406836  406838  406844  406848  406854  406862  447090 

16.行驶中的汽车制动后滑行一段距离,最后停止;流星在夜空中坠落并发出明亮的光焰;降落伞在空中匀速下降;条形磁铁在下落过程中穿过闭合线圈,线圈中产生电流。这些现象所包含的共同的物理过程是(   )

A.物体克服阻力做功

B.物体的动能转化为其它形式的能量

C.物体的势能转化为其它形式的能量

D.物体的机械能转化为其它形式的能量

试题详情

14.如图所示,电荷量为的两个正点电荷分别置于A点和B点,两点相距L。在以L为直径的光滑绝缘半圆环上,穿着一个带电小球(视为点电荷),在P点平衡,若不计小球的重力,那么,PA与AB的夹角的关系应满足(   )

    A.      B.

    C.      D.

M
 
M′
 
15.如图所示,水平放置的光滑金属长导轨MM′和NN′之间接有电阻R,导轨左、右两区域分别处在方向相反与轨道垂直的匀强磁场中,方向如图所示,设左、右区域磁场的磁感强度为B1和B2,虚线为两区域的分界线。一根金属棒ab放在导轨上并与其正交,棒和导轨的电阻均不计。金属棒在水平向右的恒定拉力作用下,在左面区域中恰好以速度为υ做匀速直线运动,则(   )

N
 
N′
 
A.若B2=B1时,棒进入右面区域中后先做加速运动,最后以速度作匀速直线运动

B.若B2=B1时,棒进入右面区域中后先做加速运动,最后以速度2作匀速直线运动

C.若B2=B1时,棒进入右面区域后先做加速运动,最后以速度2作匀速运动

D.若B2=B1时,棒进入右面区域后先做加速运动,最后以速度4作匀速运动

Ⅱ(25分)多项选择题(本题共5小题,每小题5分. 每小题给出的四个答案中,至少有两个是正确的. 把正确答案全选出来,并将正确答案前面的字母填涂在答题卷相应的位置上. 每一小题全选对的得5分;选对但不全,得部分分;有选错或不答的,得0分。)

试题详情

13.在竖直平面内有一段光滑圆弧轨道上的M、N点等高,它们所对圆心角小于100,P点是圆弧最低点,在QP之间搭一光滑斜面,将两小滑块(可视为质点)分别同时从Q点和M点由静止释放,则两小滑块的相遇点一定在(   )

A.P点            B.斜面PQ上一点

C.PM弧上的一点       D.滑块质量较大的那一侧

试题详情

12.图中A、B、C是匀强电场中的三个点,各点电势即,A、B、C三点在同一平面上,下列各图中电场强度的方向表示正确的是(   )

 

A        B          C         D

试题详情

11.一个半径为R的纸质小圆筒,绕其中心轴O匀速转动,角速度为ω。一粒子弹沿半径A0方向由纸筒上点A打进并从纸筒上的点B高速穿出,如图所示。若AB弧所对的圆心角为θ,则子弹的速度v大约为 (   )

A.   B.   C.   D.

试题详情

10.几个力共点且在同一平面内、作用在某个质点上,使该质点处于平衡状态。当其中的一个力只是大小逐渐减小而其它力保持不变时,下列说法正确的是(   )

A.合力逐渐增大,动能一定增加   B.合力逐渐减小,动能可能增加

C.合力逐渐减小,动能一定减少   D.合力逐渐增大,动能可能减少

试题详情

Ⅰ(28分)单项选择题。(本题共7小题,每小题4分,每小题给出的四个答案中,只有一个是正确的。把正确答案选出来,并将正确答案前面的字母填涂在答题卷相应的位置上。)

9.伽利略对自由落体运动的研究中,提出落体运动是匀变速运动;汤姆逊提出原子的“蛋糕式”模型;玻尔在量子假说基础上,提出原子结构的玻尔模型;等等。从科学思维方法来说,他们都属于(  )

A.等效替代        B.控制变量

C.猜测和假说       D.逻辑推理

试题详情

8.自然界中的物体由于具有一定的温度,会不断向外形成热辐射。处于一定温度的物体在向外辐射能量的同时,也要吸收由其他物体辐射的能量,如果它处于平衡状态,则能量保持不变。若不考虑物体表面性质对辐射与吸收的影响,现定义一种理想的物体可100%地吸收射到其表面的辐射能,这样的物体称为黑体。单位时间内从黑体表面的单位面积辐射的总能量与黑体绝对温度的四次方成正比。即P0=σT4,其中常数σ=5.67×108(W·m2·K4)。如果把白炽灯丝简单看作黑体,设白炽灯灯丝温度可以达到2500℃,灯丝长度为0.6m,直径0.03mm。则每小时从灯丝表面辐射的总能量为______J。

试题详情

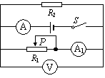
6.在如图所示的电路中,闭合电键S,将滑动变阻器的滑片P向右移动。若电源的端电压保持不变,电流表A的示数与电流表A1示数的比值将__________;若考虑电源内阻的因素,则电压表V示数的变化△U与电流表A1 示数的变化△I1的比值将______。(均选填“变小”、“不变”或“变大”)

P
 
y
 
·
 
7.有一平行于纸面的匀强电场,在纸面内建立一个以O为圆心,

θ
 
O
 
x
 
半径r=2cm的圆,如果在圆上任取一点P,设OP与x轴正方

向的夹角为θ,P点的电势=80cos(θ-30°)+10(V)。则该电场

的场强E的大小为________;方向________。

试题详情

5.某小行星的密度与地球相同,其半径为r,地球的半径为R,地球的第一宇宙速度为V,则此小行星的第一宇宙速度为____________;此小行星的公转周期为2年。设地球至太阳的距离为1天文单位,则此小行星至太阳的距离为________天文单位。

试题详情


同步练习册答案