0  419294  419302  419308  419312  419318  419320  419324  419330  419332  419338  419344  419348  419350  419354  419360  419362  419368  419372  419374  419378  419380  419384  419386  419388  419389  419390  419392  419393  419394  419396  419398  419402  419404  419408  419410  419414  419420  419422  419428  419432  419434  419438  419444  419450  419452  419458  419462  419464  419470  419474  419480  419488  447090 

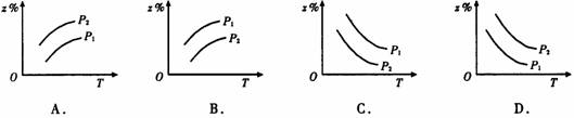
7.在可逆反应mA(g)+nB(g)  pC(g);△H<0中m、n、p为系数,且m+n>p。分析下列各图,在平衡体系中A的质量分数与温度t℃、压强P关系正确的是(   )

试题详情

6.下图中表示外界条件(T、P)的变化对下列反应的影响:L(固)+G(气)2R(气);△H>0,y轴表示的是(   )

A.平衡时,混合气中R的百分含量

B.平衡时,混合气中G的百分含量

C.G的转化率

D.L的转化率

试题详情

5.某可逆反应L(s)+G(g) 3R(g); △H>0,下图表示外界条件温度、压强的变化对上述反应的影响。试判断图中y轴可以表示(   )

A.平衡混合气中R的质量分数

B.达到平衡时G的转化率

C.平衡混合气中G的质量分数

D.达到平衡时L的转化率

试题详情

4.反应aA(g)+bB(g) cC(g);△H=-Q,生成物C的质量分数与压强P和温度的关系如下图,方程式中的系数和Q值符合图象的是(   )

A.a+b<c  Q>0    B.a+b>c  Q<0    C.a+b<c  Q<0    D.a+b=c  Q>0

试题详情

3.反应mA(固)+nB(气) eC(气)+fD(气),反应过程中,当其它条件不变时,C的百分含量(C%)与温度(T)和压强(P)的关系如下图,下列叙述正确的是(   )

A.  到平衡后,加入催化剂则C%增大

B.达到平衡后,若升温,平衡左移

C.化学方程式中n>e+f

D.达到平衡后,增加A的量有利于平衡向右移动

试题详情

2.对达到平衡的可逆反应X+YW+Z,增大压强则正、逆反应速度(v)的变化如下图,分析可知X,Y,Z,W的聚集状态可能是(   )

A.Z,W为气体,X,Y中之一为气体

B.Z,W中之一为气体,X,Y为非气体

C.X,Y,Z皆为气体,W为非气体

D.X,Y为气体,Z,W中之一为气体

试题详情

1.如下图所示,反应:X(气)+3Y(气)2Z(气)+热量,在不同温度、不同压强(P1>P2)下,达到平衡时,混合气体中Z的百分含量随温度变化的曲线应为(   )

试题详情

2、勒夏特列原理应用:

增大反应物的浓度或    生成物的浓度,平衡向     方向移动。

增大压强,平衡向气体体积    方向移动。

升高温度,平衡向    反应方向移动,催化剂     平衡移动。

试题详情

1、勒夏特列原理内容:                     

                               

试题详情

4、等效平衡原理及判定

一定条件下进行的   反应,不论从    开始,还是从    开始,或者    反应同时开始,都可以建立    的平衡状态,这就是等效平衡的原理。

⑴恒温、恒容

①若气体前后计量数之和不等,只要极限转换后,与     的物质的量(或浓度)   ,就可以达到相同平衡状态。②若气体前后计量数之和相等,极限转换后,与     的物质的量之比    就可以达到相同平衡状态。

⑵恒温、恒压

只要极限转换后,与     的物质的量之比    就可以达到相同平衡状态。

试题详情


同步练习册答案