0  427309  427317  427323  427327  427333  427335  427339  427345  427347  427353  427359  427363  427365  427369  427375  427377  427383  427387  427389  427393  427395  427399  427401  427403  427404  427405  427407  427408  427409  427411  427413  427417  427419  427423  427425  427429  427435  427437  427443  427447  427449  427453  427459  427465  427467  427473  427477  427479  427485  427489  427495  427503  447090 

7.如图所示.设有一分子位于图中的坐标原点O处不动,另一分子可位于x轴上不同位置处.图中纵坐标表示这两个分子间分子力的大小,两条曲线分别表示斥力和引力的大小随两分子间距离变化的关系,e为两曲线的交点.则  (   )

A.ab表示吸力,cd表示斥力,e点的横坐标可能为 10-15m

B.ab表示斥力,cd表示吸力,e点的横坐标可能为 10-10m

C.ab表示吸力,cd表示斥力,e点的横坐标可能为 10-10m

D.ab表示斥力,cd表示吸力,e点的横坐标可能为10-15m

试题详情

6.已知阿佛伽德罗常数为N,某物质的摩尔质量为M(kg/mol),该物质的密度为ρ(kg/m3),则下列叙述中正确的是    (   )

A.1kg该物质所含的分子个数是ρN    B.1kg该物质所含的分子个数是

C.该物质1个分子的质量是(kg)   D.该物质1个分子占有的空间是(m3)

试题详情

5.关于分子间距与分子力的下列说法中,正确的是   (   )

A.水和酒精混合后的体积小于原来的体积之和,说明分子间有空隙;正是由于分子间有空隙,才可以将物体压缩

B.实际上水的体积很难被压缩,这是由于水分子间距稍微变小时,分子间的作用就表现为斥力

C.一般情况下,当分子间距r<r0(平衡距离)时,分子力表现为斥力,r=r0时,分子力为零;当r>r0时分子力为引力

D.弹簧被拉伸或被压缩时表现的弹力,正是分子引力和斥力的对应表现

试题详情

4.从下列哪一组数据可以算出阿伏伽德罗常数  (  )

A.水的密度和水的摩尔质量    B.水的摩尔质量和水分子的体积

C.水分子的体积和水分子的质量  D.水分子的质量和水的摩尔质量

试题详情

3. (2007全国统考)以下说法正确的是:(   )

A.气体的温度越高,分子的平均动能越大

B.即使气体的温度很高,仍有一些分子的运动速率是非常小

C.对物体做功不可能使物体温度升高

D.如果气体分子间的相互作用力小到可以忽略不计,则气体的内能只与温度有关

试题详情

2.在下列叙述中,正确的是    (   )

A.物体的温度越高,分子热运动越剧烈,分子平均动能越大

B.布朗运动就是液体分子的热运动

C.一切达到热平衡的系统一定具有相同的温度

D.分子间的距离r存在某一值r0,当r<r0时,斥力大于引力,当r>r0时,引力大于斥力

试题详情

1.根据分子动理论,物质分子间距离为r0时分子所受到的引力与斥力相等,以下关于分子势能的说法正确的是   (   )

A.当分子间距离是r0时,分子具有最大势能,距离增大或减小时势能都变小 

B.当分子间距离是r0时,分子具有最小势能,距离增大或减小时势能都变大 

C.分子间距离越大,分子势能越大,分子距离越小,分子势能越小 

D.分子间距离越大,分子势能越小,分子距离越小,分子势能越大 

试题详情

类型1: 应弄清分子力做功与分子势能变化的关系

例1、分子甲和乙相距较远时,它们之间的分子力可忽略。现让分子甲固定不动,将分子乙由较远处逐渐向甲靠近直到不能再靠近,在这一过程中(  )

A、分子力总是对乙做正功;

B、分子乙总是克服分子力做功;

C、先是分子力对乙做正功,然后是分子乙克服分子力做功;

D、分子力先对乙做正功,再对乙做负功,最后又对乙做正功。

[解答]:正确答案为C。

[点评]:与重力、弹力相似,分子力做功与路径无关,可以引进分子势能的概念。分子间所具有的势能由它们的相对位置所决定。分子力做正功时分子势能减小,分子力做负功时分子势能增加。通常选取无穷远处(分子间距离r>r0处)分子势能为零。当两分子逐渐移近时(r>r0),分子力做正功,分子势能减小;当分子距离r=r0时,分子势能最小(且为负值);当两分子再靠近时(r<r0),分子力做负功,分子势能增大。

类型2:应弄清温度与分子动能的关系

例2、质量相同、温度相同的氢气和氧气,它们的( )

    A.分子数相同;     B.内能相同 ;  

C.分子平均速度相同 ;   D.分子的平均动能相同。

[解答]:正确答案为D。

[点评]:物质分子由于不停地运动而具有的能叫分子动能。分子的运动是杂乱的。同一物体内各个分子的速度大小和方向是不同的。从大量分子的总体来看,速率很大和速率很小的分子数比较少,具有中等速率的分子数比较多。在研究热现象时,有意义的不是一个分子的动能,而是大量分子的平均动能。从分子动理论观点来看,温度是物体分子热运动平均动能的标志,温度越高,分子的平均动能就越大;反之亦然。注意同一温度下,不同物质分子的平均动能都相同,但由于不同物质的分子质量不尽相同,所以分子运动的平均速率不尽相同。

类型3:应弄清物体的内能的变化与做功、热传递的关系

例3、如图所示,固定容器及可动活塞P都是绝热的,中间有一导热的固定隔板B,B的两边分别盛有气体甲和乙。现将活塞P缓慢地向B移动一段距离,已知气体的温度随其内能的增加而升高。则在移动P的过程中

      A.外力对乙做功;甲的内能不变;  

B.外力对乙做功;乙的内能不变;

C.乙传递热量给甲; 乙的内能增加  ;

D.乙的内能增加;甲的内能不变。

[解答]:C

[点评]在移动P的过程中,外界对乙气体做功,乙的内能要增加,所以乙的温度要升高.乙的温度升高后,甲、乙两部分气体就存在温度差,乙的温度较高,这样乙传递热量给甲。

例4、有关物体内能,以下说法中正确的是:

A.1g00c水的内能比1g00c冰的内能大;

B.电流通过电阻后电阻发热切,它的内能增加是通过“热传递”方式实现的;

C.气体膨胀,它的内能一定减少;

D.橡皮筋被拉伸时,分子间热能增加。

[解答]:AD

[点评]:00c的水和00c的冰分子平均动能相同,但内能并不相同,水结成冰必然放出热量,说明相同质量的水的内能大,A选项对。电阻发热是由于电流做功而不是热传递,B选项错。气体膨胀,对外做功,但可能吸收更多的热量,C选项不对。橡皮筋被子拉伸时,分子克服分子力做功,所以分子间势能增加,D选项对。

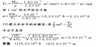
类型4.微观量的计算

点评:对于固体、液体,分子间的距离比较小,可认为分子是一个个紧挨着的,设分子体积为V0,则分子直径(球体模型)或(立方体模型)。而气体分子间间距比较大,可用估算出两个分子间的平均距离。

试题详情

4、知识点睛

①、理解并识记分子动理论的三个观点

 ②、了解分子永不停息地做无规则运动的实验事实

③、了解分子力的特点

④、深刻理解物体内能的概念

试题详情

3、易出现的问题是对较为抽象的分子热运动的动能、分子相互作用的势能及分子间相互作用力的变化规律理解不到位,导致这些微观量及规律与宏观的温度、物体的体积之间关系不能建立起正确的关系。

试题详情


同步练习册答案