15.(2000年上海,20)下列变化规律正确的是
A.H2S、HCl、PH3的热稳定性由弱到强
B.物质的量浓度相等的NaCl、MgCl2、AlCl3三种溶液的pH由小到大
C.等质量的甲烷、乙烯、乙炔充分燃烧,所耗氧气的量由多到少
![]()
14.(2000年上海,13)维生素C的结构简式为
有关它的叙述错误的是
A.是一个环状的酯类化合物
B.易起加成及氧化反应
C.可以溶解于水
D.在碱性溶液中能稳定地存在
13.(2000年理科综合,11)胆固醇是人体必需的生物活性物质,分子式为C25H45O。一种胆固醇酯是液晶材料,分子式为C32H49O2。生成这种胆固醇酯的酸是
A.C6H13COOH B.C6H5COOH
C.C7H15COOH D.C6H5CH2COOH
12.(2000年理科综合,5)尿素是第一个人工合成的有机物,下列关于尿素的叙述不正确的是
A.尿素是一种氮肥
B.尿素是人体新陈代谢的一种产物
C.尿素能发生水解反应
D.尿素是一种酸性物质
11.(2000年全国,22)某期刊封面上有如下一个分子的球棍模型图
![]()
图中“棍”代表单键或双键或三键。不同颜色的球代表不同元素的原子,该模型图可代表一种
A.卤代羧酸 B.酯 C.氨基酸 D.醇钠
10.(2001年全国,15)某有机物X能发生水解反应,水解产物为Y和Z。同温同压下,相同质量的Y和Z的蒸气所占体积相同,化合物X可能是
A.乙酸丙酯 B.甲酸乙酯 C.乙酸甲酯 D.乙酸乙酯
9.(2002年北京,15)有机物甲可氧化生成羧酸,也可还原生成醇。由甲生成的羧酸和醇在一定条件下,可以生成化合物乙,其分子式为C2H4O2。下列叙述中不正确的是
A.甲分子中C的质量分数为40%
B.甲在常温常压下为无色液体
C.乙比甲的沸点高
D.乙和甲的最简式相同
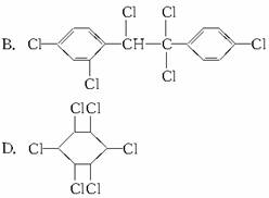
8.(2002年河南,4)六氯苯是被联合国有关公约禁止或限制使用的有毒物质之一。下式中能表示六氯苯的是
![]()
7.(2002年春,14)某化合物的分子式为C5H11Cl,分析数据表明:分子中有两个-CH3、两个-CH2-、一个
和一个-Cl,它的可能的结构有几种(本题不考虑对映异构体)
A.2 B.3 C.4 D.5
6.(2002年上海理综,17)历史上最早应用的还原性染料是靛蓝,其结构简式如图所示,
![]()
下列关于靛蓝的叙述中错误的是
A.靛蓝由碳、氢、氧、氮四种元素组成
B.它的分子式是C16H10N2O2
C.该物质是高分子化合物
D.它是不饱和的有机物
湖北省互联网违法和不良信息举报平台 | 网上有害信息举报专区 | 电信诈骗举报专区 | 涉历史虚无主义有害信息举报专区 | 涉企侵权举报专区
违法和不良信息举报电话:027-86699610 举报邮箱:58377363@163.com