精英家教网 > 初中数学 > 题目详情
如图,在梯形ABCD中,AD∥BC,∠B=90°,AD=AB=2,点E是AB边上一动点(点E不与点A、B重合),连接ED,过ED的中点F作ED的垂线,交AD于点G,交BC于点K,过点K作KM⊥AD于M.
(1)当E为AB中点时,求的值;
(2)若,则的值等于(    );
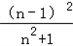
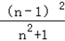
(3)若(n为正整数),则的值等于(    )(用含n的式子表示).
解:(1)连接GE.∵KM⊥AD,KG是DE的垂直平分线
∴∠KMG=∠DFG=90°
∴∠GKM=∠GDF
∵MK=AB=AD,∠KMG=∠DAE=90°
∴△KMG≌△DAE
∴MG=AE
∵E是AB中点,且AB=AD=2
∴AE=MG=1
∵KG是DE的垂直平分线
∴GE=GD
设GE=GD=x
则AG=2﹣x
在Rt△AEG中,∠EAG=90°,
由勾股定理得(2﹣x)2+12=x2
∴x=
∴DM=GD﹣GM=

(2)若
则AE=
∴AE=MG=
设GE=GD=x
则AG=2﹣x
在Rt△AEG中,∠EAG=90°,
由勾股定理得(2﹣x)2+(2=x2
∴x=
∴GD=
∴DM=GD﹣GM=
==
(3)若
则AE=,∴AE=MG=
设GE=GD=x
则AG=2﹣x
在Rt△AEG中,∠EAG=90°,
由勾股定理得(2﹣x)2+(2=x2
∴x=
∴GD=
∴DM=GD﹣GM=
==
故答案为:
练习册系列答案
相关习题

科目:初中数学 来源: 题型:

11、如图,在梯形ABCD中,AB∥CD,对角线AC、BD交于点O,则S△AOD
=
S△BOC.(填“>”、“=”或“<”)

查看答案和解析>>

科目:初中数学 来源: 题型:

精英家教网已知:如图,在梯形ABCD中,AD∥BC,AB⊥BC,AD=2,BC=CD=10.
求:梯形ABCD的周长.

查看答案和解析>>

科目:初中数学 来源: 题型:

精英家教网如图,在梯形ABCD中,AD∥BC,AB⊥AD,对角线BD⊥DC.
(1)求证:△ABD∽△DCB;
(2)若BD=7,AD=5,求BC的长.

查看答案和解析>>

科目:初中数学 来源: 题型:

20、如图,在梯形ABCD中,AD∥BC,并且AB=8,AD=3,CD=6,并且∠B+∠C=90°,则梯形面积S梯形ABCD=
38.4

查看答案和解析>>

科目:初中数学 来源: 题型:

精英家教网如图,在梯形ABCD中,AD∥BC,∠BCD=90°,以CD为直径的半圆O切AB于点E,这个梯形的面积为21cm2,周长为20cm,那么半圆O的半径为(  )
A、3cmB、7cmC、3cm或7cmD、2cm

查看答案和解析>>

同步练习册答案