精英家教网 > 初中数学 > 题目详情

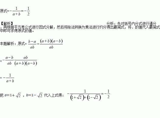
先化简,再求值: ,其中a=1+,b=1-

练习册系列答案
相关习题

科目:初中数学 来源:江苏省江阴市2017届九年级5月模拟数学试卷 题型:填空题

人体中红细胞的直径约为0.000 0077m,用科学记数法表示这个数为____________m.

查看答案和解析>>

科目:初中数学 来源:[中学联盟]江苏省盐城市射阳县实验初级中学2016-2017学年八年级下学期第二次月考数学试卷 题型:解答题

某商场经营某种品牌的玩具,购进时的单价是30元,根据市场调查:在一段时间内,销售单价是40元时,销售量是600件,而销售单价每涨1元,就会少售出10件玩具.

(1)不妨设该种品牌玩具的销售单价为x元(x>40),请你分别用x的代数式来表示销售量y件和销售该品牌玩具获得利润w元;

(2)在(1)问条件下,若商场获得了10000元销售利润,求该玩具销售单价x应为多少元.

查看答案和解析>>

科目:初中数学 来源:[中学联盟]江苏省盐城市射阳县实验初级中学2016-2017学年八年级下学期第二次月考数学试卷 题型:单选题

如图所示,在平面直角坐标系中,半径均为1个单位长度的半圆O1,O2,O3,… 组成一条平滑的曲线,点P从原点O出发,沿这条曲线向右运动,速度为每秒个单位长度,则第2017秒时,点P的坐标是( )

A. (2016,0) B. (2017,-1) C. (2015,-1) D. (2017,1)

查看答案和解析>>

科目:初中数学 来源:山东省淄博市张店区2017届中考一模数学试卷 题型:解答题

如图,在四边形ABCD中,AB∥CD,点E、F在对角线AC上,且∠ABF=∠CDE,AE=CF.

(1)求证:△ABF≌△CDE;

(2)当四边形ABCD满足什么条件时,四边形BFDE是菱形?为什么?

查看答案和解析>>

科目:初中数学 来源:山东省淄博市张店区2017届中考一模数学试卷 题型:填空题

若式子在实数范围内有意义,则x的取值范围是____________.

查看答案和解析>>

科目:初中数学 来源:山东省淄博市张店区2017届中考一模数学试卷 题型:单选题

在学习“一次函数与二元一次方程”时,我们知道了两个一次函数图像的交点坐标与其相应的二元一次方程组的解之间的关系.请通过此经验推断:在同一平面直角坐标系中,函数y=5x2-3x+4与y=4x2-x+3的图像交点个数有 ( )

A. 0个 B. 1个 C. 2个 D. 无数个

查看答案和解析>>

科目:初中数学 来源:[首发]江西省抚州市2016-2017学年七年级下学期第二次月考数学试卷 题型:填空题

△ABC中AD平分∠ABC,AE⊥BC,∠B =500,∠C=700 ,∠DAE=_______ -0(图1)

(图2)若E是AD上的一点,EF⊥BC于F,其它条件不变,∠DEF=____________0

(图3)若E是AD延长线上的一点,EF⊥BC于F,其它条件不变,∠DEF=_____________0

查看答案和解析>>

科目:初中数学 来源:山东省临清、高唐两地2017届中考模拟考试(二)数学试卷 题型:解答题

(2012•大连)如图,AB是⊙O的直径,点C在⊙O上,∠CAB的平分线交⊙O于点D,过点D作AC的垂线交AC的延长线于点E,连接BC交AD于点F.

(1)猜想ED与⊙O的位置关系,并证明你的猜想;

(2)若AB=6,AD=5,求AF的长.

查看答案和解析>>

同步练习册答案