精英家教网 > 初中数学 > 题目详情
已知抛物线y=ax2+bx+c与y轴的交点为C,顶点为M,直线CM的解析式y=-x+2并且线段CM的长为

(1)求抛物线的解析式;
(2)设抛物线与x轴有两个交点A(x1,0)、B(x2,0),且点A在B的左侧,求线段AB的长;
(3)若以AB为直径作⊙N,请你判断直线CM与⊙N的位置关系,并说明理由。
解:(1)由已知,直线CM:y=-x+2与y轴交于点C(0,2)抛物线y=ax2+bx+c过点C(0,2),
所以c=2,抛物线y=ax2+bx+c的顶点M在直线CM上,
所以
解得b=0或b=-2
若b=0,点C、M重合,不合题意,舍去
所以b=-2。即M
过M点作y轴的垂线,垂足为Q,在中,
所以
解得
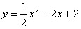
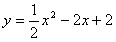
∴所求抛物线为:
(2)∵抛物线与x轴有两个交点
不合题意,舍去。
∴抛物线应为:
抛物线与x轴有两个交点且点A在B的左侧
∴由

(3)∵AB是⊙N的直径,
∴r=
N(-2,0)
又∵M(-2,4),
∴MN=4
设直线与x轴交于点D,则D(2,0),
∴DN=4,可得MN=DN,

作NG⊥CM于G,
= r
即圆心到直线CM的距离等于⊙N的半径
∴直线CM与⊙N相切。
练习册系列答案
相关习题

科目:初中数学 来源: 题型:

如图,已知抛物线y=ax2+bx+c(a≠0)经过A(-2,0),B(0,-4),C(2,-4)三点,且精英家教网与x轴的另一个交点为E.
(1)求抛物线的解析式;
(2)用配方法求抛物线的顶点D的坐标和对称轴;
(3)求四边形ABDE的面积.

查看答案和解析>>

科目:初中数学 来源: 题型:

已知抛物线y=ax2和直线y=kx的交点是P(-1,2),则a=
 
,k=
 

查看答案和解析>>

科目:初中数学 来源: 题型:

2、已知抛物线y=ax2+bx+c的开口向下,顶点坐标为(2,-3),那么该抛物线有(  )

查看答案和解析>>

科目:初中数学 来源: 题型:

精英家教网如图,已知抛物线y=ax2+bx+c(其中b>0,c<0)的顶点P在x轴上,与y轴交于点Q,过坐标原点O,作OA⊥PQ,垂足为A,且OA=
2
,b+ac=3.
(1)求b的值;
(2)求抛物线的解析式.

查看答案和解析>>

科目:初中数学 来源: 题型:

(2013•广州)已知抛物线y1=ax2+bx+c(a≠0,a≠c)过点A(1,0),顶点为B,且抛物线不经过第三象限.
(1)使用a、c表示b;
(2)判断点B所在象限,并说明理由;
(3)若直线y2=2x+m经过点B,且于该抛物线交于另一点C(
ca
,b+8
),求当x≥1时y1的取值范围.

查看答案和解析>>

同步练习册答案