精英家教网 > 初中数学 > 题目详情

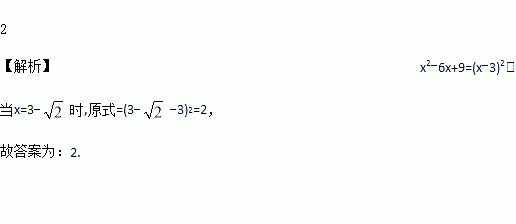
若x=3﹣,则代数式x2﹣6x+9的值为__.

练习册系列答案
相关习题

科目:初中数学 来源:安徽省蚌埠市、新城实验、慕远)2016-2017学年八年级上学期期中联考数学试卷 题型:填空题

如图,已知在△ABC中,∠ABC与∠ACB的平分线交于点P,当∠A=70°时,则∠BPC的度数为______________.

查看答案和解析>>

科目:初中数学 来源:安徽省蚌埠市、十二中、一实小、三实小)2016-2017学年八年级上学期期中联考数学试卷 题型:解答题

在平面直角坐标系中,过一点分别作坐标轴的垂线,若与坐标轴围成矩形的周长与面积相等,则这个点叫做和谐点。例如,图中过点p分别作x轴,y轴的垂线,与坐标轴围成矩形OAPB的周长与面积相等,则点p是和谐点。

判断点M(1,2),N(4,4)是否为和谐点,并说明理由;

若和谐点P(a,3)在直线y=-x+b(b为常数)上,求a,b的值.

查看答案和解析>>

科目:初中数学 来源:安徽省蚌埠市、十二中、一实小、三实小)2016-2017学年八年级上学期期中联考数学试卷 题型:单选题

已知M到x轴的距离为1,到y轴的距离为2,且M在第四象限,则点M的坐标为( )

A. (1,2) B. (-1,-2). C. (1,-2) D. (2,-1).

查看答案和解析>>

科目:初中数学 来源:江苏省盐城市2016-2017学年八年级(上)期中数学试卷 题型:解答题

a,b分别代表铁路和公路,点M、N分别代表蔬菜和杂货批发市场.现要建中转站O点,使O点到铁路、公路距离相等,且到两市场距离相等.请用尺规画出O点位置,不写作法,保留痕迹.

查看答案和解析>>

科目:初中数学 来源:江苏省盐城市2016-2017学年八年级(上)期中数学试卷 题型:单选题

为了求1+2+22+23+…+22008+22009的值,可令S=1+2+22+23+…+22008+22009,则2S=2+22+23+24+…+22008+22009+22010,因此2S﹣S=22010﹣1,所以1+2+22+23+…+22009=22010﹣1.仿照以上推理计算出1+5+52+53+…+52009的值是( )

A. 52010+1 B. 52010﹣1 C. D.

查看答案和解析>>

科目:初中数学 来源:江苏省盐城市2016-2017学年八年级(上)期中数学试卷 题型:单选题

能把一个任意三角形分成面积相等的两部分是(  )

A. 角平分线 B. 中线 C. 高 D. A、B、C都可以

查看答案和解析>>

科目:初中数学 来源:江苏省盐城市2016-2017学年八年级(上)期中数学试卷 题型:填空题

若x+y=10,xy=1,则x2y+xy2=__.

查看答案和解析>>

科目:初中数学 来源:陕西西安市2017届九年级第四次适应性训练(四模)数学试卷 题型:解答题

如图所示, 中,点上一点,且,以为直径⊙于点,交 于点,且点是半圆的中点.

)求证: 与⊙相切.

)若,求的长度.

查看答案和解析>>

同步练习册答案