精英家教网 > 初中数学 > 题目详情

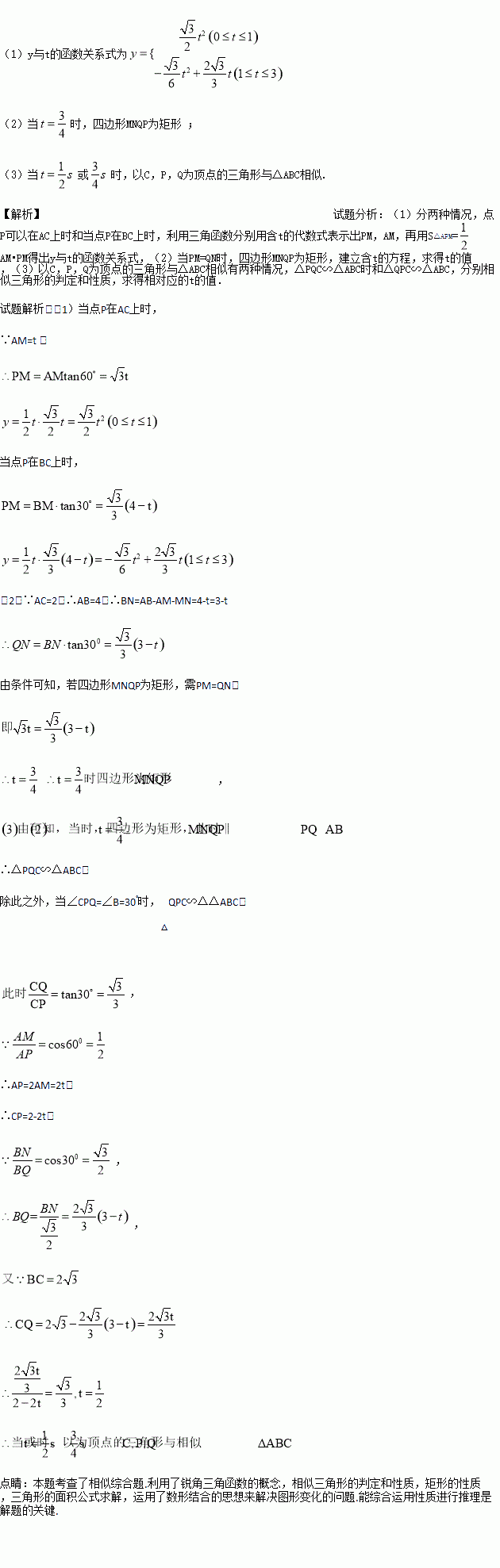
△ABC中,∠C=90°,∠A=60°,AC=2cm.长为1cm的线段MN在△ABC的边AB上沿AB方向

以1cm/s的速度向点B运动(运动前点M与点A重合).过M,N分别作AB的垂线交直角边于P,Q两点,线段MN运动的时间为ts.

(1)若△AMP的面积为y,写出y与t的函数关系式(写出自变量t的取值范围);

(2)线段MN运动过程中,四边形MNQP有可能成为矩形吗?若有可能,求出此时t的值;若不可能,说明理由;

(3)t为何值时,以C,P,Q为顶点的三角形与△ABC相似?

练习册系列答案
相关习题

科目:初中数学 来源:江苏省淮安市2017年九年级中考模拟数学试卷(含答案) 题型:解答题

(1)

(2)

查看答案和解析>>

科目:初中数学 来源:[中学联盟]新疆乌鲁木齐市第九十八中学2016-2017学年七年级下学期第二次月考数学试卷 题型:单选题

方程2x-=0,3x+y=0,2x+xy=1,3x+y-2x=0,x2-x+1=0中,二元一次方程的个数是( )

A. 1个 B. 2个 C. 3个 D. 4个

查看答案和解析>>

科目:初中数学 来源:江苏省镇江市润州区2016届九年级中考二模数学试卷 题型:填空题

如图,矩形的长为4,宽为a(a<4),剪去一个边长最大的正方形后剩下一个矩形,同样的方法操作,在剩下的矩形中再剪去一个最大的正方形,若剪去三个正方形后,剩下的恰好是一个正方形,则最后一个正方形的边长是________.

查看答案和解析>>

科目:初中数学 来源:江苏省镇江市润州区2016届九年级中考二模数学试卷 题型:填空题

如图,a‖b,AB⊥AC,∠1=65°29′,则∠2=_____________.

查看答案和解析>>

科目:初中数学 来源:广东省汕头市毕业生学业模拟考试数学试卷 题型:解答题

已知:如图,在?ABCD中,E,F分别是边AD,BC上的点,且AE=CF,直线EF分别交BA的延长线、DC的延长线于点G,H,交BD于点O.

(1)求证:△ABE≌△CDF;

(2)连接DG,若DG=BG,则四边形BEDF是什么特殊四边形?请说明理由.

查看答案和解析>>

科目:初中数学 来源:广东省汕头市毕业生学业模拟考试数学试卷 题型:填空题

因式分【解析】
a2b﹣ab+b=__.

查看答案和解析>>

科目:初中数学 来源:海南海口市 2017年 九年级数学 中考模拟试卷(含答案) 题型:解答题

解不等式组: ,并把解集在数轴上表示出来.

查看答案和解析>>

科目:初中数学 来源:浙江省丽水市2016-2017学年第二学期期末模拟浙教版八年级数学试卷(含答案) 题型:单选题

下列计算正确的是( )

A. ()2=±6 B. =-7 C. ×=3 D. ÷=3

查看答案和解析>>

同步练习册答案