ƴͼÊÇÒ»ÖÖÑо¿´úÊýºãµÈʽµÄÖØÒª·½·¨£¬ËùνµÄƴͼָµÄÊǰÑËù¸øµÄͼÐÎÒÔ²»Í¬µÄ·½Ê½Æ´³É²»Í¬ÐÎ×´µÄͼÐΣ¬°ÑͼÐÎÃæ»ýÓò»Í¬µÄ´úÊýʽ±íʾ£¬ÓÉÓÚÆ´Í¼Ç°ºóµÄÃæ»ýÏàµÈ£¬´Ó¶øÏàÓ¦µÄ´úÊýʽµÄÖµÒ²ÏàµÈ£¬½ø¶øµÃµ½´úÊýºãµÈʽ.
£¨1£©ÖÇ»ÛѧϰС×é̽Ë÷ÁËÓÃ4¸öÈçͼ1ËùʾµÄÈ«µÈµÄ³¤·½ÐΣ¨³¤¡¢¿í·Ö±ðΪa¡¢b£©Æ´³É²»Í¬µÄͼÐΣ®ÔÚÑо¿¹ý³ÌÖУ¬ËûÃÇÓÃÕâ4¸ö³¤·½ÐÎÆ´³ÉÁËÒ»¸öÈçͼ2ËùʾµÄ¡°»ØÐΡ±Õý·½ÐΣ®Æ´Í¼Ç°ºó£¬Çëд³ö¸ÃС×éËùÓÃͼÐΣ¨4¸ö³¤·½ÐΣ©µÄÃæ»ýµÄ¼ÆËã·½·¨£ºÆ´Í¼Ç°£º £»Æ´Í¼ºó£º £»ÒòΪƴͼǰºóµÄÃæ»ý²»±ä£¬ËùÒԿɵôúÊýºãµÈʽ£º .
£¨2£©ÀûÓã¨1£©Öеõ½µÄºãµÈʽ£¬½â¾öÏÂÃæµÄÎÊÌ⣺ÒÑÖª
ÇóxyµÄÖµ£®
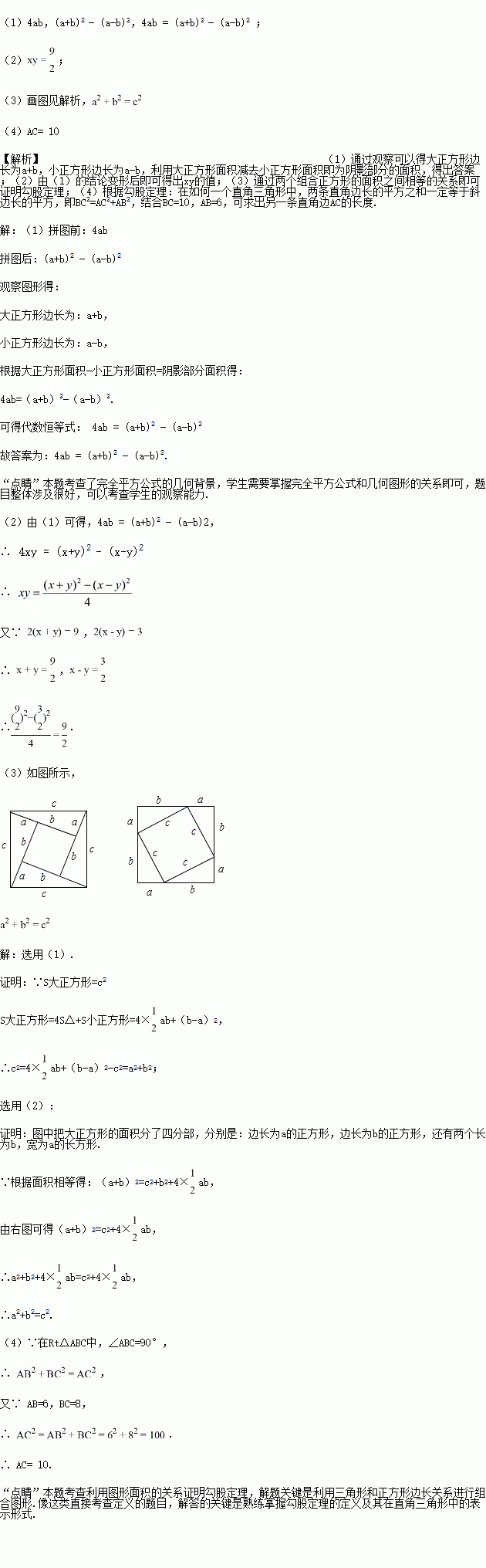
£¨3£©³¬ÈËѧϰС×éÊÜÖÇ»ÛѧϰС×éµÄÆô·¢£¬ÓÃ4¸öÈçͼ3ËùʾµÄÈ«µÈµÄÖ±½ÇÈý½ÇÐΣ¨Èý±ß³¤·Ö±ðΪa¡¢b¡¢c£©Æ´³ÉÁËÁ½ÖÖ¡°Öпա±µÄÕý·½ÐÎ.ÇëÄ㻳öÕâÁ½ÖÖͼÐΣº
![]()
ÓÉÉÏÃæµÄͼÐοɵôúÊýºãµÈʽ£º .
£¨4£©ÀûÓã¨3£©Öеõ½µÄ´úÊýºãµÈʽ£¬½â¾öÏÂÃæµÄÎÊÌ⣺ÔÚRt¡÷ABCÖУ¬ÒÑÖª¡ÏABC=90¡ã£¬AB=6£¬BC=8£¬ÇóACµÄ³¤.
| Äê¼¶ | ¸ßÖÐ¿Î³Ì | Äê¼¶ | ³õÖÐ¿Î³Ì |
| ¸ßÒ» | ¸ßÒ»Ãâ·Ñ¿Î³ÌÍÆ¼ö£¡ | ³õÒ» | ³õÒ»Ãâ·Ñ¿Î³ÌÍÆ¼ö£¡ |
| ¸ß¶þ | ¸ß¶þÃâ·Ñ¿Î³ÌÍÆ¼ö£¡ | ³õ¶þ | ³õ¶þÃâ·Ñ¿Î³ÌÍÆ¼ö£¡ |
| ¸ßÈý | ¸ßÈýÃâ·Ñ¿Î³ÌÍÆ¼ö£¡ | ³õÈý | ³õÈýÃâ·Ñ¿Î³ÌÍÆ¼ö£¡ |
¿ÆÄ¿£º³õÖÐÊýѧ À´Ô´£º¼ªÁÖÊ¡2016-2017ѧÄêÆßÄê¼¶ÏÂѧÆÚµÚ¶þ´ÎÔ¿¼ÊýѧÊÔ¾í ÌâÐÍ£ºÌî¿ÕÌâ
Èçͼ£¬½«¡÷ABCÈÆµãC˳ʱÕë·½ÏòÐýת40¡ãµÃ¡÷A¡¯CB¡¯£¬ÈôAC¡ÍA¡¯B¡¯£¬Ôò¡ÏBAC=___£®
![]()
²é¿´´ð°¸ºÍ½âÎö>>
¿ÆÄ¿£º³õÖÐÊýѧ À´Ô´£ºËÄ´¨Ê¡Íâ¹úÓïʵÑéѧУ2016-2017ѧÄê°ËÄê¼¶ÏÂѧÆÚµÚ¶þѧ¶Î¿¼ÊÔÊýѧA¾íÊÔ¾í ÌâÐÍ£ºµ¥Ñ¡Ìâ
ÏÂÁÐÔËËãÕýÈ·µÄÊÇ( )
A.
B.
C.
D. ![]()
²é¿´´ð°¸ºÍ½âÎö>>
¿ÆÄ¿£º³õÖÐÊýѧ À´Ô´£ººÓ±±Ê¡±£¶¨ÊиßÑôÏØ2016-2017ѧÄê°ËÄê¼¶ÏÂѧÆÚÆÚÄ©¿¼ÊÔÊýѧÊÔ¾í ÌâÐÍ£ºµ¥Ñ¡Ìâ
ÒÑÖªÒ»¸öÖ±½ÇÈý½ÇÐεÄÁ½±ß³¤·Ö±ðΪ3ºÍ5£¬ÔòµÚÈý±ß³¤ÊÇ£¨ £©
A. 5 B. 4 C.
D. 4»ò![]()
²é¿´´ð°¸ºÍ½âÎö>>
¿ÆÄ¿£º³õÖÐÊýѧ À´Ô´£ººÓ±±Ê¡±£¶¨ÊиßÑôÏØ2016-2017ѧÄê°ËÄê¼¶ÏÂѧÆÚÆÚÄ©¿¼ÊÔÊýѧÊÔ¾í ÌâÐÍ£ºµ¥Ñ¡Ìâ
ÏÂÁжþ´Î¸ùʽ²»ÄÜÓë
ºÏ²¢µÄÊÇ£¨ £©
A.
B.
C.
D. ![]()
²é¿´´ð°¸ºÍ½âÎö>>
¿ÆÄ¿£º³õÖÐÊýѧ À´Ô´£ºËÄ´¨ÍâÓïÑ§ÔºÖØÇìµÚ¶þÍâ¹úÓïѧУ2016-2017ѧÄêÆßÄê¼¶ÏÂѧÆÚµÚ¶þ´ÎÔ¿¼£¨ÆÚÖУ©ÊýѧÊÔ¾í ÌâÐÍ£º½â´ðÌâ
Èçͼ£¬ÒÑÖª
. ÇóÖ¤£ºCD¡ÎEF.£¨Ìî¿Õ²¢ÔÚºóÃæµÄÀ¨ºÅÖÐÌîÀíÓÉ£©
![]()
Ö¤Ã÷£º¡ß¡ÏAGD=¡ÏACB
¡àDG¡Î___________ (__________)
¡à¡Ï3=__________ £¨_____________£©
¡ß¡Ï1=¡Ï2 £¨___________________£©
¡à¡Ï3=__________ £¨___________________£©
¡à__________¡Î___________ £¨__________________£©
²é¿´´ð°¸ºÍ½âÎö>>
¿ÆÄ¿£º³õÖÐÊýѧ À´Ô´£ºËÄ´¨ÍâÓïÑ§ÔºÖØÇìµÚ¶þÍâ¹úÓïѧУ2016-2017ѧÄêÆßÄê¼¶ÏÂѧÆÚµÚ¶þ´ÎÔ¿¼£¨ÆÚÖУ©ÊýѧÊÔ¾í ÌâÐÍ£ºÌî¿ÕÌâ
¼ÆËã:
=_____________£®
²é¿´´ð°¸ºÍ½âÎö>>
¿ÆÄ¿£º³õÖÐÊýѧ À´Ô´£ººÓ±±Ê¡ÇػʵºÊÐ2016-2017ѧÄêÆßÄê¼¶ÏÂѧÆÚÆÚÄ©¿¼ÊÔÊýѧÊÔ¾í ÌâÐÍ£º½â´ðÌâ
ÈçͼËùʾ£¬ÒÑÖª¡Ï1=¡Ï2£¬¡Ï3=¡Ï4£¬¡Ï5=¡ÏC£¬ÇóÖ¤£ºDE//BF
![]()
²é¿´´ð°¸ºÍ½âÎö>>
¿ÆÄ¿£º³õÖÐÊýѧ À´Ô´£ºÇຣʡ2016-2017ѧÄêÆßÄê¼¶6ÔÂÔ¿¼ÊýѧÊÔ¾í ÌâÐÍ£ºµ¥Ñ¡Ìâ
ÒÑÖªµãp(3-m,m-1)ÔÚµÚËÄÏóÏÞ£¬ÔòmµÄȡֵ·¶Î§ÔÚÊýÖáÉϱíʾÕýÈ·µÄÊÇ£¨ £©
A.
B.
C.
D. ![]()
²é¿´´ð°¸ºÍ½âÎö>>
¹ú¼ÊѧУÓÅÑ¡ - Á·Ï°²áÁбí - ÊÔÌâÁбí
ºþ±±Ê¡»¥ÁªÍøÎ¥·¨ºÍ²»Á¼ÐÅÏ¢¾Ù±¨Æ½Ì¨ | ÍøÉÏÓк¦ÐÅÏ¢¾Ù±¨×¨Çø | µçÐÅթƾٱ¨×¨Çø | ÉæÀúÊ·ÐéÎÞÖ÷ÒåÓк¦ÐÅÏ¢¾Ù±¨×¨Çø | ÉæÆóÇÖȨ¾Ù±¨×¨Çø
Î¥·¨ºÍ²»Á¼ÐÅÏ¢¾Ù±¨µç»°£º027-86699610 ¾Ù±¨ÓÊÏ䣺58377363@163.com