精英家教网 > 初中数学 > 题目详情

综合与探究

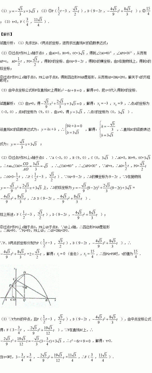
如图,抛物线轴交于A、B两点(点A在点B的左侧),与轴交于点C,连接AC、BC.点P沿AC以每秒1个单位长度的速度由点A向点C运动,同时,点Q沿BO以每秒2个单位长度的速度由点B向点O运动,当一个点停止运动时,另一个点也随之停止运动,连接PQ,过点Q作QD⊥x轴,与抛物线交于点D,与BC交于点E.连接PD,与BC交于点F.设点P的运动时间为秒().

(1)求直线BC的函数表达式.

(2)①直接写出P、D两点的坐标(用含的代数式表示,结果需化简).

②在点P、Q运动的过程中,当PQ=PD时,求的值.

(3)试探究在点P、Q运动的过程中,是否存在某一时刻,使得点F为PD的中点.若存在,请直接写出此时的值与点F的坐标;若不存在,请说明理由.

练习册系列答案
相关习题

科目:初中数学 来源:2017年初中毕业升学考试(山东德州卷)数学(解析版) 题型:解答题

如图所示,某公路检测中心在一事故多发地带安装了一个测速仪,检测点设在距离公路10m的A处,测得一辆汽车从B处行驶到C处所用的时间为0.9秒.已知∠B=30°,∠C=45°

(1)求B,C之间的距离;(保留根号)

(2)如果此地限速为80km/h,那么这辆汽车是否超速?请说明理由.(参考数据:,

查看答案和解析>>

科目:初中数学 来源:2017年初中毕业升学考试(上海卷)数学(解析版) 题型:选择题

数据2、5、6、0、6、1、8的中位数和众数分别是( )

A.0和6 B.0和8 C.5和6 D.5和8

查看答案和解析>>

科目:初中数学 来源:2017年初中毕业升学考试(陕西卷)数学(解析版) 题型:填空题

请从以下两个小题中任选一个作答,若多选,则按第一题计分.

A.如图,在△ABC中,BD和CE是△ABC的两条角平分线.若∠A=52°,则∠1+∠2的度数为

B.tan38°15′≈ .(结果精确到0.01)

查看答案和解析>>

科目:初中数学 来源:2017年初中毕业升学考试(陕西卷)数学(解析版) 题型:选择题

化简:,结果正确的是( )

A.1 B. C. D.

查看答案和解析>>

科目:初中数学 来源:2017年初中毕业升学考试(山西卷)数学(解析版) 题型:解答题

如图,在平面直角坐标系中,正方形OABC的顶点O与坐标原点重合,其边长为2,点A,点C分别在轴,轴的正半轴上.函数的图象与CB交于点D,函数为常数,)的图象经过点D,与AB交于点E,与函数的图象在第三象限内交于点F,连接AF、EF.

(1)求函数的表达式,并直接写出E、F两点的坐标.

(2)求△AEF的面积.

查看答案和解析>>

科目:初中数学 来源:2017年初中毕业升学考试(山西卷)数学(解析版) 题型:填空题

计算:

查看答案和解析>>

科目:初中数学 来源:2017年初中毕业升学考试(山东淄博卷)数学(解析版) 题型:填空题

设△ABC的面积为1.

如图1,分别将AC,BC边2等分,D1,E1是其分点,连接AE1,BD1交于点F1,得到四边形CD1F1E1,其面积S1=

如图2,分别将AC,BC边3等分,D1,D2,E1,E2是其分点,连接AE2,BD2交于点F2,得到四边形CD2F2E2,其面积S2=

如图3,分别将AC,BC边4等分,D1,D2,D3,E1,E2,E3是其分点,连接AE3,BD3交于点F3,得到四边形CD3F3E3,其面积S3=

按照这个规律进行下去,若分别将AC,BC边(n+1)等分,…,得到四边形CDnEnFn,其面积S=

查看答案和解析>>

科目:初中数学 来源:2017年初中毕业升学考试(山东枣庄卷)数学(解析版) 题型:选择题

下列计算,正确的是( )

A. B.

C. D.

查看答案和解析>>

同步练习册答案