精英家教网 > 初中物理 > 题目详情
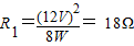
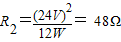
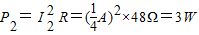
如图所示,灯L1上标有“12V 8W”,L2上标有“24V 12W”电源电压恒定为12V,开关S闭合后( )

A.电流表A1比A2的示数大
B.电流表A2示数为0.5A
C.灯L1正常发光,且比灯L2
D.电压表接法是错误的
【答案】分析:找出分流点、合流点,确认电路连接方式和两个电流表和电压表测谁的量进行分析.
解答:解:如图,①A为分流点、B为合流点,两个灯并联,两个电流表测量的都是干路中的电流,两个电流表的示数相等;
②电压表测量的是支路两端的电压;
③接在12V的电源上



④灯L1上标有“12V 8W”接在12V的电源上,正常发光,
<P1,L1
故选C.
点评:确认电路连接方式的方法:首先不看电流表(相当于导线)和电压表(相当于开路),然后根据电流方向找分流点、合流点,有分合点电路为并联,没有分合点电路为串联.
练习册系列答案
相关习题

科目:初中物理 来源: 题型:

(2005?锦州)如图所示,灯L1上标有“36V 16W”字样,L2上标有“220V 100W”字样,A1、A2和V都是大量程电表,电源电压为220V.将开关S闭合,待各电表示数稳定后,将会看到(  )

查看答案和解析>>

科目:初中物理 来源: 题型:

(2007?房山区一模)如图所示,灯L1上标有“12V 8W”,L2上标有“24V 12W”电源电压恒定为12V,开关S闭合后(  )

查看答案和解析>>

科目:初中物理 来源: 题型:

如图所示,灯L1上标有“12V 8W”、L2上标有“24V 12W”字样,电源电压为12V且保持不变,开关S闭合后(  )

查看答案和解析>>

科目:初中物理 来源: 题型:

(2008?石景山区二模)如图所示,灯L1上标有“6V 4W”,灯L2上标有“12V 6W”,电源电压恒为6V,开关S闭合后,下列说法正确的是(  )

查看答案和解析>>

科目:初中物理 来源:2004-2005学年北京市昌平区九年级(上)期末物理试卷(解析版) 题型:选择题

如图所示,灯L1上标有“12V 8W”、L2上标有“24V 12W”字样,电源电压为12V且保持不变,开关S闭合后( )

A.电流表A1和A2示数相同
B.电流表A2示数为0.5A
C.电压表接法是错误的
D.灯L1正常发光,且比灯L2

查看答案和解析>>

同步练习册答案