精英家教网 > 高中数学 > 题目详情
满足条件AB=2,AC=BC的三角形ABC的面积的最大值是   
【答案】分析:设BC=x,根据面积公式用x和sinB表示出三角形的面积,再根据余弦定理用x表示出sinB,代入三角形的面积表达式,进而得到关于x的三角形面积表达式,再根据x的范围求得三角形面积的最大值.
解答:解:设BC=x,则AC=x,
根据面积公式得S△ABC=AB•BCsinB
=×2x
根据余弦定理得cosB=
==
代入上式得
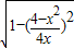
S△ABC=x=
由三角形三边关系有
解得2-2<x<2+2.
故当x=2时,S△ABC取得最大值2
点评:本题主要考查了余弦定理和面积公式在解三角形中的应用.当涉及最值问题时,可考虑用函数的单调性和定义域等问题.
练习册系列答案
相关习题

科目:高中数学 来源: 题型:

已知实数a、b、c满足条件ab+bc+ca=1,给出下列不等式:①a2b2+b2c2+c2a2≥1;②
1
abc
≥2
3
;③(a+b+c)2>2;④a2bc+ab2c+abc2
1
3
;其中一定成立的式子有
③④
③④

查看答案和解析>>

科目:高中数学 来源: 题型:

(2004•上海模拟)正方形ABCD中,AB=1,分别以A、C为圆心作两个半径为R、r(R>r)的圆,当R、r满足条件
1
1
时,⊙A与⊙C有2个交点.(  )

查看答案和解析>>

科目:高中数学 来源: 题型:

如图,直三棱柱ABC—A1B1C1中,AB=AC,AA1=2AB,∠BAC=90°.

(1)在侧棱BB1上找一点D,使得BC1⊥AD,并说明理由;

(2)若点D满足条件(1),求二面角A-DC1-C的大小.

查看答案和解析>>

科目:高中数学 来源: 题型:

如图,直三棱柱ABC—A1B1C1中,AB=AC,AA1=2AB,∠BAC=90°.

(1)在侧棱BB1上找一点D,使得BC1⊥AD,并说明理由;

(2)若点D满足条件(1),求二面角A-DC1-C的大小.

查看答案和解析>>

科目:高中数学 来源:2003-2004学年上海市民办中学八校高三(下)3月联考数学试卷(解析版) 题型:选择题

正方形ABCD中,AB=1,分别以A、C为圆心作两个半径为R、r(R>r)的圆,当R、r满足条件11时,⊙A与⊙C有2个交点.( )
A.R+r>
B.R-r<<R+r
C.R-r>
D.0<R-r<

查看答案和解析>>

同步练习册答案