精英家教网 > 高中数学 > 题目详情
若函数f(x)=-a是奇函数,则a=   
【答案】分析:利用函数是奇函数,得到f(-x)=-f(x),或者通过特殊值法,通过方程求解a的值.
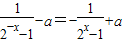
解答:解:方法1:函数的定义域为{x|x≠0},
因为函数为奇函数,所以f(-1)=-f(1),即
所以-2-a=-1+a,解得a=.经检验知成立.
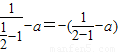
方法2:函数的定义域为{x|x≠0},
因为函数为奇函数,所以f(-x)=-f(x),

所以
即a=
故答案为:
点评:本题主要考查函数奇偶性的应用,一般是利用定义法或者是通过特殊值法去建立方程,然后求解.
练习册系列答案
相关习题

科目:高中数学 来源: 题型:

(2013•东至县一模)若函数f(x)=a(x+1)p(x-1)q(a>0)在区间[-2,1]上的图象如图所示,则p,q的值可能是(  )

查看答案和解析>>

科目:高中数学 来源: 题型:

已知向量
a
=(-x,1),
b
=(x,tx),若函数f(x)=
a
b
在区间[-1,1]上不是单调函数,则实数t的取值范围是(  )
A、(-∞,-2]∪[2,+∞)
B、(-∞,-2)∪(2,+∞)
C、(-2,2)
D、[-2,2]

查看答案和解析>>

科目:高中数学 来源: 题型:

(2012•烟台一模)已知向量
a
=(-
1
2
cosx,-x)
b
=(1,t),若函数f(x)=
a
b
在区间(0,
π
2
)
上存在增区间,则t的取值范围
(-∞,
1
2
)
(-∞,
1
2
)

查看答案和解析>>

科目:高中数学 来源: 题型:

(2009•台州一模)已知向量
a
=(sinx,1),
b
=(t,x),若函数f(x)=
a
b
在区间[0,
π
2
]上是增函数,则实数t的取值范围是
[-1,+∞)
[-1,+∞)

查看答案和解析>>

科目:高中数学 来源: 题型:

(2011•东城区模拟)已知向量
a
=(x2,x+1),
b
=(1-x,t),若函数f(x)=
a
b
在区间(-1,1)上是增函数,则实数t的取值范围是(  )

查看答案和解析>>

同步练习册答案