精英家教网 > 高中数学 > 题目详情
出租车司机从饭店到火车站途中有六个交通岗,假设他在各交通岗遇到红灯这一事件是相互独立的,并且概率都是
(1)求这位司机遇到红灯前,已经通过了两个交通岗的概率;
(2)求这位司机在途中遇到红灯数ξ的期望和方差.
【答案】分析:(1)由题意司机从饭店到火车站途中有六个交通岗,假设他在各交通岗遇到红灯这一事件是相互独立的,并且概率都是,此题属于独立事件同时发生的概率,利用独立事件同时发生的概率即可;
(2)由题意该随机变量符合二项分布,利用二项分布的期望与方差公式即可.
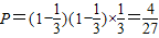
解答:解:(1)因为这位司机第一、二个交通岗未遇到红灯,在第三个交通岗遇到红灯,
所以  
(2)易知.∴
点评:此题考查了独立事件同时发生的概率公式,还考查了随机变量的期望与方差,及符合二项分布的离散型随机变量的期望与方差公式.
练习册系列答案
相关习题

科目:高中数学 来源: 题型:

一出租车司机从饭店到火车站途中有六个交通岗,假设他在各交通岗遇到红灯这一事件是相互独立的,并且概率都是
13
.那么这位司机遇到红灯前,已经通过了两个交通岗的概率是
 

查看答案和解析>>

科目:高中数学 来源: 题型:

一出租车司机从饭店到火车站途中有6个交通岗,假设他在各交通岗遇红灯这一事件是相互独立的,并且概率都是
13

(1)求这位司机遇到红灯前,已经通过了两个交通岗的概率;
(II)求这位司机在途中恰好遇到三次红灯的概率.

查看答案和解析>>

科目:高中数学 来源: 题型:

出租车司机从饭店到火车站途中有六个交通岗,假设他在各交通岗遇到红灯这一事件是相互独立的,并且概率都是
13

(1)求这位司机遇到红灯前,已经通过了两个交通岗的概率;
(2)求这位司机在途中遇到红灯数ξ的期望和方差.

查看答案和解析>>

科目:高中数学 来源: 题型:

出租车司机从饭店到火车站途中有六个交通岗,假设他在各交通岗遇到红灯是相互独立的,并且概率都是
1
3
.则这位司机在途中遇到红灯数ξ的方差为
4
3
4
3
.(用分数表示)

查看答案和解析>>

科目:高中数学 来源:2013届贵州省高二上学期期末考试理科数学 题型:解答题

(12分)出租车司机从饭店到火车站途中有六个交通岗,假设他在各交通岗到红灯这一事件是相互独立的,并且概率都是

   (1)求这位司机遇到红灯前,已经通过了两个交通岗的概率;

   (2)求这位司机在途中遇到红灯数ξ的期望和方差。

 

 

查看答案和解析>>

同步练习册答案