精英家教网 > 高中数学 > 题目详情
已知数列{an}满足a1=1,a2=2,,则a200=( )
A.2199•199!
B.201!-1
C.2198•201!
D.198!-1
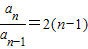
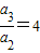
【答案】分析:由数列{an}满足a1=1,a2=2,,知,故,由此能导出,从而能求出a200
解答:解:数列{an}满足a1=1,a2=2,



{ }为等差数列,公差d=2,

当n≥2时,







=2n-1×(n-1)!


故选A.
点评:本题考查数列的递推式的应用,考查运算求解能力,考查推导论证能力,综合性强,难度大,是高考的重点.解题时要认真审题,仔细解答,注意合理地进行等价转化.
练习册系列答案
相关习题

科目:高中数学 来源: 题型:

已知数列{an}满足:a1=1且an+1=
3+4an
12-4an
, n∈N*

(1)若数列{bn}满足:bn=
1
an-
1
2
(n∈N*)
,试证明数列bn-1是等比数列;
(2)求数列{anbn}的前n项和Sn
(3)数列{an-bn}是否存在最大项,如果存在求出,若不存在说明理由.

查看答案和解析>>

科目:高中数学 来源: 题型:

已知数列{an}满足
1
2
a1+
1
22
a2+
1
23
a3+…+
1
2n
an=2n+1
则{an}的通项公式
 

查看答案和解析>>

科目:高中数学 来源: 题型:

已知数列{an}满足:a1=
3
2
,且an=
3nan-1
2an-1+n-1
(n≥2,n∈N*).
(1)求数列{an}的通项公式;
(2)证明:对于一切正整数n,不等式a1•a2•…an<2•n!

查看答案和解析>>

科目:高中数学 来源: 题型:

已知数列{an}满足an+1=|an-1|(n∈N*
(1)若a1=
54
,求an
(2)若a1=a∈(k,k+1),(k∈N*),求{an}的前3k项的和S3k(用k,a表示)

查看答案和解析>>

科目:高中数学 来源: 题型:

(2012•北京模拟)已知数列{an}满足an+1=an+2,且a1=1,那么它的通项公式an等于
2n-1
2n-1

查看答案和解析>>

同步练习册答案