精英家教网 > 高中数学 > 题目详情
已知数列an满足
(1)求a2,a3,a4;并求证:a2m+1+2=2(a2m-1+2),(m∈N*);
(2)设,求证:
【答案】分析:(1)根据题意可求得a2,a3和a4,把2m+1代入题设递推式,利用诱导公式整理求得a2m+1=2a2m,同理求得a2m=a2m-1+1,进而整理求得a2m+1+2=2(a2m-1+2)
(2)根据(1)可判断出数列a2m-1+2是公比为2的等差数列,进而求得其通项公式,求得a2m-1,则a2m可得,进而分n为奇数和偶数求得其通项公式,代入bn中利用不等式的传递性整理,最后利用等比数列的求和公式证明原式.
解答:解:(1)a2=(1+0)a1+1=2,a3=(1+1)a2+0=4,a4=(1+0)a3+1=5,
证明:a2m+1==2a2m
a2m=a2m-1+1,则a2m+1=2a2m-1+2,
∴a2m+1+2=2(a2m-1+2)
证明:(2)由(1)可得:,数列a2m-1+2是公比为2的等差数列,
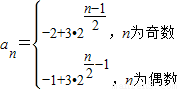
a2m-1+2=(a1+2)2m-1得:a2m-1=-2+3•2m-1(m∈N*),

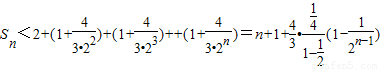
所以:
而当n≥2时,-1+3•2n-2≥2,故

从而
=
点评:本题主要考查了数列与三角函数,不等式的综合运用.考查了学生分析推理和运算能力.
练习册系列答案
相关习题

科目:高中数学 来源: 题型:

已知数列an满足a1=2,
an+1
2an
=1+
1
n

(Ⅰ)求数列an的通项公式;
(Ⅱ)若数列{
an
n
}
的前n项和为Sn,试比较an-Sn与2的大小.

查看答案和解析>>

科目:高中数学 来源: 题型:

已知数列an满足a1=1,n≥2时,
an
an-1
=
2-3an
an-1+2

(1)求证:数列{
1
an
}
为等差数列;
(2)求{
3n
an
}
的前n项和.

查看答案和解析>>

科目:高中数学 来源: 题型:

已知数列an满足a1+a2+…+an=n2(n∈N*).
(1)求数列an的通项公式;
(2)对任意给定的k∈N*,是否存在p,r∈N*(k<p<r)使
1
ak
,  
1
ap
,  
1
ar
成等差数列?若存在,用k分别表示p和r(只要写出一组);若不存在,请说明理由;
(3)证明:存在无穷多个三边成等比数列且互不相似的三角形,其边长为an1,an2,an3

查看答案和解析>>

科目:高中数学 来源: 题型:

已知数列an满足a1=
1
4
an=
an-1
(-1)nan-1-2
(n≥2,n∈N)

(1)求数列an的通项公式an
(2)设bn=
1
a
2
n
,求数列bn的前n项和Sn
(3)设cn=ansin
(2n-1)π
2
,数列cn的前n项和为Tn.求证:对任意的n∈N*Tn
4
7

查看答案和解析>>

科目:高中数学 来源: 题型:

已知数列an满足a1=1,an+1=(1+cos2
2
)an+sin2
2
,n∈N*

(1)求a2,a3,a4;并求证:a2m+1+2=2(a2m-1+2),(m∈N*);
(2)设bn=
a2n
a2n-1
Sn=b1+b2+…+bn
,求证:Sn<n+
5
3

查看答案和解析>>

同步练习册答案