精英家教网 > 高中数学 > 题目详情
过双曲线的一个焦点F2作垂直于实轴的弦PQ,F1是另一焦点,若∠,则双曲线的离心率e等于( )
A.
B.
C.
D.
【答案】分析:根据由题设条件可知,|F1F2|=2c,由此可以求出双曲线的离心率e.
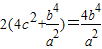
解答:解:由题意可知,|F1F2|=2c,
∵∠

∴4a2c2=b4=(c2-a22=c4-2a2c2+a4
整理得e4-6e2+1=0,
解得(舍去)
故选C.
点评:本题考查双曲线的离心率,解题要注意时双曲线的离心率大于1.
练习册系列答案
相关习题

科目:高中数学 来源:2014届辽宁省丹东市高二下学期期初摸底文科数学卷(解析版) 题型:填空题

过双曲线的一个焦点F作它的一条渐近线的垂线FM,垂足为M并且交轴于E,若M为EF中点,则=___________.

 

查看答案和解析>>

科目:高中数学 来源:2013届山东省高三第二次质量检测文科数学试卷(解析版) 题型:填空题

过双曲线的一个焦点F作一条渐近线的垂线,若垂足恰在线段(为原点)的垂直平分线上,则双曲线的离心率为            .

 

查看答案和解析>>

科目:高中数学 来源:江西省09-10学年高二下学期第二次段考数学文科试卷 题型:选择题

过双曲线的一个焦点F作其一条渐近线的垂线,若垂足恰在线段OF(O为原点)的垂直平分线上,则双曲线的离心率为(    )

A.2           B.         C.       D.

 

查看答案和解析>>

科目:高中数学 来源:2011年湖南省校高二下学期1月份联考数学理卷 题型:填空题

过双曲线的一个焦点F作一条渐近线的垂线,若垂足恰在线段(为原点)的垂直平分线上,则双曲线的离心率为_______       ___

 

 

查看答案和解析>>

科目:高中数学 来源:浙江省舟山市2010届高三高考模拟试题 题型:选择题

过双曲线的一个焦点F作一条渐近的垂线,垂足为点A,与另一条渐近线并于点B,若,则此双曲线的离心率为(   )                                              

       A.                   B.                    C.2                        D.

 

查看答案和解析>>

同步练习册答案