精英家教网 > 高中数学 > 题目详情
成等差数列的三个正数的和等于15,并且这三个数分别加上2、5、13后成为等比数列{bn}中的b3、b4、b5
(I) 求数列{bn}的通项公式;
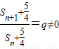
(II) 数列{bn}的前n项和为Sn,求证:数列{Sn+}是等比数列.
【答案】分析:(I)利用成等差数列的三个正数的和等于15可设三个数分别为5-d,5+d,代入等比数列中可求d,进一步可求数列{bn}的通项公式
(II)根据(I)及等比数列的前 n项和公式可求Sn,要证数列{Sn+}是等比数列?即可.
解答:解:(I)设成等差数列的三个正数分别为a-d,a,a+d
依题意,得a-d+a+a+d=15,解得a=5
所以{bn}中的依次为7-d,10,18+d
依题意,有(7-d)(18+d)=100,解得d=2或d=-13(舍去)
故{bn}的第3项为5,公比为2
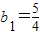
由b3=b1•22,即5=4b1,解得
所以{bn}是以首项,2为公比的等比数列,通项公式为
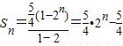
(II)数列{bn}的前和
,所以
因此{}是以为首项,公比为2的等比数列
点评:本题主要考查了等差数列、等比数列及前n和公式等基础知识,同时考查基本运算能力
练习册系列答案
相关习题

科目:高中数学 来源: 题型:

成等差数列的三个正数的和等于15,并且这三个数分别加上2、5、13后成为等比数列{bn}中的b3、b4、b5
(Ⅰ)求数列{bn}的通项公式;
(Ⅱ)数列{bn}的前n项和为Sn,求证:数列{Sn+
54
}是等比数列.

查看答案和解析>>

科目:高中数学 来源: 题型:

成等差数列的三个正数的和等于15,并且这三个数分别加上2、5、13后成为等比数列{bn}中的b3、b4、b5
(1)求数列{bn}的通项公式; 
(2)数列{bn}的前n项和为Sn

查看答案和解析>>

科目:高中数学 来源: 题型:

成等差数列的三个正数的和等于15,并且这三个数分别加上1,3,9后又成等比数列,那么这三个数的乘积等于
105
105

查看答案和解析>>

科目:高中数学 来源: 题型:

成等差数列的三个正数的和等于15,并且这三个数分别加上1,3,9后又成等比数列,则这三个数分别是
3,5,7
3,5,7

查看答案和解析>>

科目:高中数学 来源:2011-2012学年陕西省高三开学第一次考试理科数学 题型:解答题

(12分)成等差数列的三个正数的和等于15,并且这三个数分别加上2、5、13

后成为等比数列中的

(1) 求数列的通项公式;

(2) 数列的前n项和为,求证:数列是等比数列.

 

 

查看答案和解析>>

同步练习册答案